Hear the Heartbeat in Phases Physiologically Grounded Phase-Aware ECG Biometrics
π Original Paper Info
- Title: Hear the Heartbeat in Phases Physiologically Grounded Phase-Aware ECG Biometrics- ArXiv ID: 2601.00170
- Date: 2026-01-01
- Authors: Jintao Huang, Lu Leng, Yi Zhang, Ziyuan Yang
π Abstract
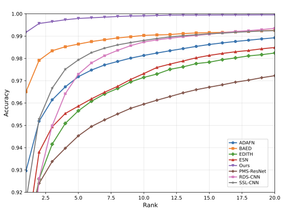
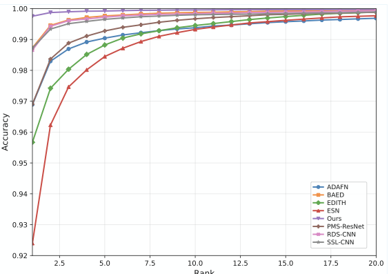
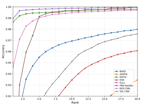
Electrocardiography (ECG) is adopted for identity authentication in wearable devices due to its individual-specific characteristics and inherent liveness. However, existing methods often treat heartbeats as homogeneous signals, overlooking the phase-specific characteristics within the cardiac cycle. To address this, we propose a Hierarchical Phase-Aware Fusion~(HPAF) framework that explicitly avoids cross-feature entanglement through a three-stage design. In the first stage, Intra-Phase Representation (IPR) independently extracts representations for each cardiac phase, ensuring that phase-specific morphological and variation cues are preserved without interference from other phases. In the second stage, Phase-Grouped Hierarchical Fusion (PGHF) aggregates physiologically related phases in a structured manner, enabling reliable integration of complementary phase information. In the final stage, Global Representation Fusion (GRF) further combines the grouped representations and adaptively balances their contributions to produce a unified and discriminative identity representation. Moreover, considering ECG signals are continuously acquired, multiple heartbeats can be collected for each individual. We propose a Heartbeat-Aware Multi-prototype (HAM) enrollment strategy, which constructs a multi-prototype gallery template set to reduce the impact of heartbeat-specific noise and variability. Extensive experiments on three public datasets demonstrate that HPAF achieves state-of-the-art results in the comparison with other methods under both closed and open-set settings.π‘ Summary & Analysis
The paper begins with a statement indicating that it has been submitted to IEEE for potential publication, suggesting international recognition and the possibility of publication. It also mentions financial support from the National Natural Science Foundation of China and the Jiangxi Provincial Key Laboratory of Image Processing and Pattern Recognition. The key point here is that this research was carried out through the collaboration of multiple institutions, highlighting the importance of networking and cooperation in the field.π Full Paper Content (ArXiv Source)
π λ Όλ¬Έ μκ°μλ£ (Figures)


















