Dynamic Radar Network of UAVs A Joint Navigation and Tracking Approach
📝 Original Paper Info
- Title: Dynamic Radar Network of UAVs A Joint Navigation and Tracking Approach- ArXiv ID: 2001.04560
- Date: 2020-07-23
- Authors: Anna Guerra, Davide Dardari, Petar M. Djuric
📝 Abstract
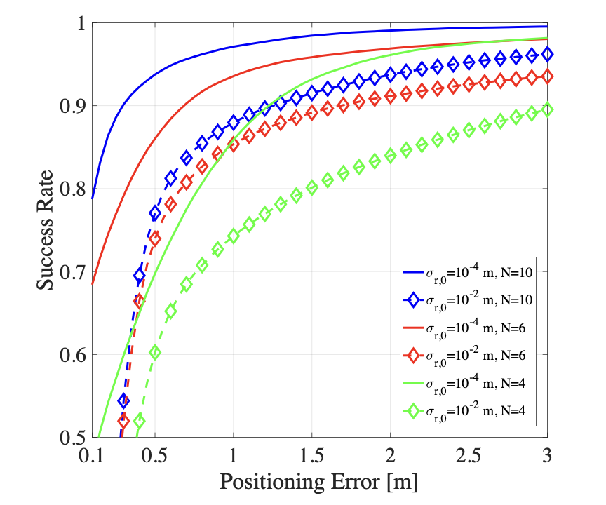
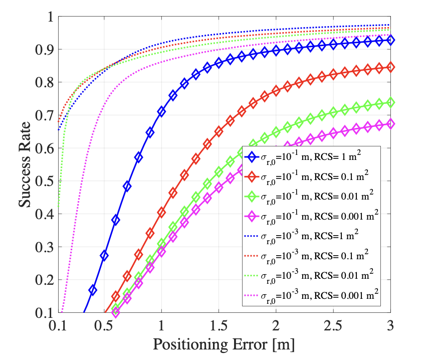
Nowadays there is a growing research interest on the possibility of enriching small flying robots with autonomous sensing and online navigation capabilities. This will enable a large number of applications spanning from remote surveillance to logistics, smarter cities and emergency aid in hazardous environments. In this context, an emerging problem is to track unauthorized small unmanned aerial vehicles (UAVs) hiding behind buildings or concealing in large UAV networks. In contrast with current solutions mainly based on static and on-ground radars, this paper proposes the idea of a dynamic radar network of UAVs for real-time and high-accuracy tracking of malicious targets. To this end, we describe a solution for real-time navigation of UAVs to track a dynamic target using heterogeneously sensed information. Such information is shared by the UAVs with their neighbors via multi-hops, allowing tracking the target by a local Bayesian estimator running at each agent. Since not all the paths are equal in terms of information gathering point-of-view, the UAVs plan their own trajectory by minimizing the posterior covariance matrix of the target state under UAV kinematic and anti-collision constraints. Our results show how a dynamic network of radars attains better localization results compared to a fixed configuration and how the on-board sensor technology impacts the accuracy in tracking a target with different radar cross sections, especially in non line-of-sight (NLOS) situations.💡 Summary & Analysis
This paper focuses on near-field electromagnetic ranging technology. Notably, the research has received support from both the EU’s Horizon 2020 program and the NSF. It is a collaborative effort between the University of Bologna and Stony Brook University, with A.G. serving as the corresponding author.📄 Full Paper Content (ArXiv Source)
📊 논문 시각자료 (Figures)


















