Corrected-Inverse-Gaussian First-Hitting-Time Modeling for Molecular Communication Under Time-Varying Drift

This paper develops a tractable analytical channel model for first-hitting-time molecular communication systems under time-varying drift. While existing studies of nonstationary transport rely primarily on numerical solutions of advection--diffusion …

Authors: Yen-Chi Lee

Corrected-Inverse-Gaussian First-Hitting-Time Modeling for Molecular Communication Under Time-Varying Drift
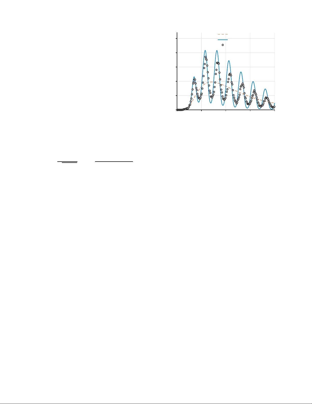
Corrected-I n v erse-Gaussian First-Hitti ng-T ime Modeling for Molecular Commu n icati on Under T ime-V arying Drift Y en-Chi Lee Departmen t of Mathematics National Central University , T aiwan Email: y clee@math.ncu .edu.tw Abstract —This paper dev elops a tractable analytical channel model fo r first-hittin g-ti me molecular communication systems under time-vary ing drift. While existing studies of nonstationary transport rely primarily on numerical solutions of advection– diffusion eq uations or parametric impu lse-response fitting, they do not provide a closed-f orm description of trajectory-lev el arriv al dynamics at absorbing boundaries. By adopting a change- of-measure fo rmulation, we re veal a structural decomposition of the first-hi t ting-time d ensity into a cumulative-drift displacement term and a stochastic boundary-flux modulation factor . Th is leads to an e xplicit analytical expression f or th e Corre cted-Inv erse- Gaussian (C-IG) d ensity , extending the classical IG model to strongly non stationary drift condi tions while preserving constant- complexity eva luation. High-p recision M onte Carlo simulations under both smooth pul satile and abrupt switch ing drift p rofiles confirm that the proposed model accurately captures complex transport phenomena, i n cluding p hase modulation, multi-pu lse dispersion, and transient backflow . Th e resulting framework prov ides a p hysics-info rmed, comput ation all y efficient channel model suitable for system-lev el analysis and recei ver design in dynamic biological and molecular com munication enviro nments. Index T erms —M olecul ar communications, channel modeling, time-vary ing d rift, first-hittin g-ti me, stochastic transport. I . I N T RO D U C T I O N Molecular comm u nication ( MC) channels are g overned by the stochastic transpo rt of sign a ling m olecules throug h d iffu- sion an d advection [ 1 ], [ 2 ]. The dom inant mod e ling parad igm in the literature characterize s such ch annels via concen tration- based im pulse respon ses [ 3 ] derived from advection– d iffusion partial differential eq uations [ 4 ]. Under steady an d unifo rm drift co nditions, th e se fo rmulation s ad mit c o mpact analy tical expressions, an d f or absorbing receiver settings, the first- hitting-time (FHT) distribution provides a na tural d escription of m olecule a rriv al dynam ics. In particular, wh en d rift is con- stant, the FHT d ensity follows the classical I n verse-Gaussian (IG) distribution [ 5 ], wh ic h h a s been widely ad o pted as a tractable b a selin e analytical c hannel mod el. In rea listic biolo gical and enginee red en vironmen ts, how- ev er , transpor t conditio n s ar e rar e ly station a ry . Pulsatile car- diovascular flows [ 6 ], [ 7 ] and tim e -varying electrop horetic transport in micro fluidic platform s [ 8 ], [ 9 ] induce explicitly time-depen dent d rift velocities. Physically , the se en vironments are co m monly mod eled using oscillator y velocity profiles superimpo sed on a nonzero mean drift, reflecting per iodically driven pressure gradients in vascular systems [ 10 ], [ 11 ]. Su ch nonstationa ry d rift resha p es molecule arriv al statistics, lead- ing to pha se mod ulation, multi-peak behavior , an d tran sient backflow effects that cannot be captured by stationary channel models. Despite extensive investi gation of time- varying tran sport, most existing MC studies re main conce n tration-cen tric. While recent analytical advances have successfully modeled time- variant MC channe ls indu ced b y th e random Brownian mo- bility o f transcei vers [ 12 ], these ap proach e s fun damentally assume a static fluid medium governed by isotrop ic diffusion. Characterizing th e nonstation a r ity induced by explicitly time- varying fluid drift r e mains a distinctly different an d open analytical challeng e. Unlike tr ansceiv er mobility , which c a n be resolved by statistically averaging a static ch annel imp u lse re- sponse over random distance s, time-varying ad vection contin- uously alters the underlying stochastic trajectory . This triggers directional phenom ena, such as transient backflow , th at purely diffusion-based mo bility mode ls can not capture . Consequently , time variability in drift is typically handled via numerical solutions of advection– diffusion partial differential eq uations (PDEs) or simulation-calibrated chan nel im p ulse responses (CIRs), where system para meters are ad justed dynamically to fit observed data [ 13 ]. While such appr oaches accurately capture macroscop ic conc entration evolution, they do not yield closed- form analytical models for tr a jectory-level a r riv al statistics at absorbing bound a ries [ 14 ]. From a stochastic- process viewpoint, the exact FHT density un der time-varying drift can in p r inciple be character iz e d thr ough V olterra-typ e integral equ ations ar ising from first-passage th eory [ 15 ], [ 16 ]. Howe ver, th ese formula tio ns gene r ally lack clo sed-form so- lutions and require recur si ve n umerical ev a lu ation, making them un suitable fo r rea l- time chan n el mod e lin g and signal processing app lications. T o add ress th is ch allenge, th is paper develops a phy sics- informe d analytical chann el m o del for FHT behavior un- der time- v a rying drift . By re f ormulatin g stochastic transport throug h a chang e-of-me a su re perspective, we uncover a struc- tural decomposition of the FHT density into a cumulative-drift displacement term and a stochastic boun dary-flux modulation factor . This lea d s to an explicit analytical Corre cted-Inverse- ln d Q d P    T = µ ( T ) ℓ − µ (0) x 0 σ 2 | {z } Boundary Potential − 1 σ 2 Z T 0 µ ′ ( t ) X t dt | {z } Stochastic C oupling − 1 2 σ 2 Z T 0 µ ( t ) 2 dt | {z } Intrinsic Energy . (1) Gaussian (C-IG) density formu la th at extend s the classical IG mod el to stro ngly no n stationary drift conditions while preserving c o nstant-com plexity ev alua tio n. The main contributions of this work are summ a r ized as follows. • Analytic a l Framework for Nonsta t ionary T ransport: W e establish a tractab le analy tical fr a m ew o rk to mo del FHT channels under explicitly time- depende nt drift ve- locities. By uncovering a structural de c omposition of no n- stationary tr ansport into a cumulative displacement ter m and a stoch astic bound a ry-flux modu lation factor, this work extends trajecto ry-level ch a nnel mo deling beyond the traditio n al stationary assum p tion. • Explicit Analytica l Corrected-IG Density: W e d eriv e an explicit analy tical C-I G density that g eneralizes the classical IG model (see [ 5 ]) to strongly no nstationary regimes. The resulting form ulation captu res comp lex p he- nomena —in cluding phase mo dulation, multi-pu lse dis- persion, and transient backflow—while ma in taining O (1) computatio nal complexity , makin g it su itab le for real- time ap plications. • Robustness Across Diverse Drift Profiles: Thro u gh high-p recision Monte Carlo validation, we de m onstrate the robustness of the C-IG m odel across qualitati vely dif- ferent scenarios, ran g ing fro m smooth periodic to abru p t switching drift. This confirm s the model’ s wav eform- agnostic nature and estab lishes it as a co mputationa lly efficient alter nativ e to PDE-based simula tio ns for system- lev el analysis in molecu lar commun ic a tio n. I I . S T RU C T U R A L D E C O M P O S I T I O N O F T H E F H T D E N S I T Y U N D E R T I M E - V A RY I N G D R I F T Exact first-p assage fo rmulations of the FHT d e nsity un der time-varying drift are an alytically intractab le. T o obtain a tractable representation, we ad opt a chang e-of-m easure fr ame- work that separ ates ref erence diffusion f rom d rift-indu ced perturb ations. This formu lation reveals a natu ral two-layer stru c ture of the FHT density: an exponen tial d isp lacement core determined by cumulative drift, and a stochastic bou ndary- flux m odulation factor . T h e following sub sectio ns derive these two com po- nents. A. Girsanov Thr ee-F actor Decompo sition Let (Ω , F , { F t } t ≥ 0 , P ) be a filtered pro b ability space, and let W t denote a standard one-dimen sional Brownian motio n adapted to {F t } t ≥ 0 under P . Und er the refer ence measure P , the sig n aling molecu le fo llows d rift-free diffusion, dX t = σdW t , X 0 = x 0 . (2) Absorbing Boundar y ( x = ℓ ) Release P oint ( x = x 0 ) Tx Nanomachine (Release at t = 0 ) Rx Nanomachine (FHT t = T ) Stochastic Trajectory X t (Drift–Diffusion) x Time-V arying Drift µ ( t ) = v 0 + A sin( ω t ) Propagati on Distance λ = ℓ − x 0 Fig. 1. Schemati c illustratio n of the 1D molecula r communication system under pulsatile flow . Information molecules are rele ased by the Tx na noma- chine at x 0 and propagate through a fluid medium characteri zed by a constant dif fusion coef ficient σ 2 and a time-v arying drift velocit y µ ( t ) . The channel impulse response is deter mined by the First-Hitting Time (FHT) T , the random instant when the stocha stic traje ctory X t first contacts the absorbing boundary at x = ℓ . Under the target measure Q , the dynamics incorp o rate a deterministic time -varying dr ift, dX t = µ ( t ) dt + σ dW t . W e assume th a t µ ( t ) is deterministic and square-integrable on finite intervals. The stop ping tim e to an absorb ing bo undar y ℓ > x 0 is define d as T := inf { t > 0 : X t = ℓ } . By the Girsan ov theo rem [ 17 ], the Radon –Nikodym deri va- ti ve ev alu a ted at the stoppin g time T is d Q d P    T = exp 1 σ 2 Z T 0 µ ( t ) dX t − 1 2 σ 2 Z T 0 µ ( t ) 2 dt ! . ( 3 ) Applying the It ˆ o integration-b y-parts formu la (see [ 18 ]) to µ ( t ) X t and im posing the bo undary con ditions X 0 = x 0 and X T = ℓ , th e log -likelihood ratio a dmits a natural decompo - sition into th r ee distinct compo nents, as summarized in ( 1 ). These cor respond to • Bou n dary P otential : a term determ in ed solely by endpo int values of the d r ift field, • Intrinsic E ner g y : an accum u lated d eterministic cost of maintaining drift, • Stochastic Coup ling : a pa th -depen d ent in teraction b e- tween drif t variations and diffusion trajectories. This deco mposition explicitly separates geometric prop er- ties of th e d rift field fro m stochastic interf erence effects and provides a tran sparent physical inter pretation of how time- varying drift modifies boun d ary-hittin g dynamics. B. Extraction of the Macr oscopic Exp onential Cor e T o obtain the FHT density under time- varying drift, we ev aluate th e co nditional expectation of the Rado n–Nikodym deriv a ti ve given T = t . Th e p rincipal analytical d ifficulty arises from the stochastic coupling term (see Eq. ( 1 )), wh ich in volves an in finite-dimension al path integral. T o overcome this, we employ a most-pr ob a ble-path app r ox- imation [ 19 ]. This c o rrespon ds to a saddle-po in t e valuation o f the path integral in the small-diffusion regime. Con ditioned on T = t , the dom inant trajecto ry is appro ximated by th e lin ear interpolatio n ¯ X s ≈ x 0 + s t ( ℓ − x 0 ) . (4) Substituting this path into th e stochastic cou pling term yields − 1 σ 2 Z t 0 µ ′ ( s ) ¯ X s ds = 1 σ 2  λM ( t ) t − ( µ ( t ) ℓ − µ (0) x 0 )  , (5) where λ = ℓ − x 0 . A key structural consequen ce emerges upon substitution : the boun dary potential term cancels exactly . Defin ing the cumulative m e a n displac e ment M ( t ) := R t 0 µ ( s ) ds, a nd completing the square with the intrinsic energy contribution, the expone n tial argu ment o f the FHT density r educes to the remarkab ly simple for m − ( ℓ − x 0 − M ( t )) 2 2 σ 2 t . (6) This result reveals a fundam ental in sight: time-varying drift influences arrival statistics primarily throu g h a deter ministic displacement of th e effecti ve boun dary distance. The FHT density thus retains an I G–type exponential structure ( see [ 20 , Append ix A]), with the classical constant-dr ift distance replaced by a time - depend ent cumulativ e displacement. While th is expon ential co re accu r ately captures macrosco pic phase shif ts of the arrival pulse, determining the precise instantaneou s amplitude requ ires a more r efined tre a tment of boun d ary flux dy n amics. This amplitude correction is addressed in the following sectio n. I I I . I N S TA N TA N E O U S F L U X M O D U L AT I O N A N D E X P E C T E D P O S I T I V E F L U X While th e exponen tial cor e in ( 6 ) accu rately captur es the macroscop ic timing shifts in duced by the cumu lativ e d is- placement M ( t ) , comp letely characterizin g the FHT de n sity requires de termining the instan tan eous amplitude prefactor . A naive tangent approx imation would scale th is amplitude by a deterministic instantaneo us flux. Howev er , in highly pulsatile regimes, strong backflow ( µ ( t ) < 0 ) causes determin istic models to inco r rectly pred ict zero or negative arrival r ates, leading to artificial truncatio n. Since thermal diffusion phy si- cally guarantees a nonzero bo undary -crossing p r obability even against macro scopic backflow , th e instantan e ous boun dary flux mu st be mod e le d a s an inher e ntly stochastic quantity . This motiv ates our dif f usion-con sistent Exp ected P ositive Flux (EPF) f ormulation . A. Diffusion-Sca led Flux First, we d efine the diffusion- scaled mean flux factor F mean ( t ) . Instead of allowing the instantaneo us velocity fluc- tuation ( µ ( t ) − v 0 ) to scale linear ly with tim e —which leads Problem Input: MC Transport with Time-V arying Drift µ ( t ) Theoretic al Frame work: Change-of- Measure (Girsano v Theorem) Macroscopi c Pat h: Cumulati ve Displa cement M ( t ) Result: Exponentia l Core (Capture s Phase Shift) Microscopi c P ath: Stochasti c Boundar y Flux Correcti on Method: Expected Positive Flux (EPF) (Handles Backflo w) Final Analytical Model: Corre cted-In verse-Gaussian (C-IG) Density V alidation: vs. High-Precisi on Monte Carlo T iming Amplitude Fig. 2. Methodo logica l flowc hart of the proposed frame work. The approach le verages a change-of-measure formulation to decompose nonstationa ry trans- port into deterministi c cumulati ve displac ement and stocha stic flux modula- tion, synthesized via the EPF correcti on into the final analyt ical C-IG model. to se vere overestimation (overshoot) of late-ar r iving p eaks— we strictly constrain its impact b y the ch aracteristic diffusion length √ σ 2 t , F mean ( t ) = ℓ +  µ ( t ) − v 0  √ σ 2 t. (7) Physically , th is scaling r eflects the fact th at as the particle cloud disperses over time, its sp a tial con centration near the bound ary decrea ses. Conseq uently , a gi ven velocity fluctuatio n should push a pr ogressively smaller fraction of the en semble across the boun dary co mpared to the initial, hig hly concen- trated stage. By tying the dr ift impact to the diffusion-ind uced standard d eviation, this structural scaling ensures tha t th e flux perturb ation cor rectly mirro rs the actual spa tial dispersion of the Brownian particles over tim e. B. Expe c te d P ositive Flu x F o rmulation T o resolve the n on-ph ysical truncation du r ing backflow phases, we model the instantaneou s boundar y flux as a normally distributed ran dom variable. The macr oscopic flux F mean ( t ) acts as the mea n , while the local diffusion scale S ( t ) = √ σ 2 t acts as the standar d deviation. The effectiv e arriv al rate is g overned by the expectation o f the strictly p ositiv e com ponen ts o f th is flu x distribution. By defining th e stan dardized flu x state Z ( t ) = F mean ( t ) /S ( t ) , the smooth Exp ected Positi ve Flux F smooth ( t ) is derived as F smooth ( t ) = F mean ( t )Φ  Z ( t )  + S ( t ) φ  Z ( t )  , (8) where Φ( · ) and φ ( · ) are the CDF and PDF o f the standar d normal distribution, respectively . The EPF operato r in ( 8 ) acts as a rigo rous, phy sics-informed “soft-plus” fu nction. Durin g fo rward flow stages ( Z ≫ 0 ), F smooth ≈ F mean , perfectly preserving the heightene d pe ak arriv als. Conversely , during severe backflow ( Z < 0 ), the EPF yields a smo oth, strictly po siti ve tail d riv en p u rely by the dif f usion term S ( t ) φ ( Z ) , accurately p reventing the density from collap sin g to zer o. C. The Corr ected- I n verse-Gaussian Channel Model The p receding analysis reveals that the FHT den sity un- der time-varying drift admits a natural two-layer structure. The expon ential compo nent is governe d by the cumulative displacement M ( t ) , which captu res the ma c r oscopic timing shift induced by non stationary drift. The amplitu de pr efactor , in con trast, is determ ined by stochastic bo undar y -crossing dy- namics and must accou nt f or diffusion-driven flux fluctu ations. By com b ining the expo nential core der i ved in ( 6 ) with EPF formu latio n in ( 8 ), we obtain an exp licit analytical cha racter- ization of the FHT den sity under tim e -varying drift. Result (Co rrected-In verse-Ga ussian Density) . Under deter- ministic time-varying drift µ ( t ) and diffusion coefficient σ 2 , the FHT density at an absorbing bou ndary ℓ is appr oximated by the C-IG formula , f C - I G ( t ) = F smooth ( t ) √ 2 π σ 2 t 3 exp −  ℓ − x 0 − M ( t )  2 2 σ 2 t ! . (9) This expr ession retains the classical IG exponential stru c- ture wh ile incorporating two essential co rrections: a time- depend ent effectiv e d isplacement th at captures dr ift-induced phase shifts, and a diffusion-consistent stochastic flu x m odu- lation that ensures physically realistic behavior under strong backflow conditions. I V . N U M E R I C A L R E S U LT S W e validate the C-IG model via par ticle - lev el Monte Carlo simulations implemented in MA TLAB (with rand om seed 42 ) using N = 10 5 trajectories an d a fixed time-step ∆ t = 10 − 3 . T o ensure sub- step p recision, arr ival times are resolved via linear interpolation at the bound ary . Unless otherwise spe ci- fied, we set th e ba seline drift v 0 = 1 . 0 , diffusion c oefficient σ 2 = 2 . 0 , and bo undar y distance ℓ = 5 . 0 in dimensionless units. A. V alidation Under Str ong ly Pulsatile Drift W e fir st consider a sinusoidal dr ift profile µ ( t ) = v 0 + A sin( ω t ) , with an ang ular fr equency ω = 2 π . Drift mag nitude is normalize d rela tive to the d iffusion scale, a s is stand ard in m olecular co mmunicatio n studies [ 1 ]. T o emphasize n on- stationary effects, we ad opt an amp litude ratio A/v 0 = 2 (i.e., A = 2 . 0 ), rep resenting a stron g ly pulsatile regime with periodic flow reversal, co nsistent with ph ysiological transport scenarios [ 6 ], [ 7 ]. Fig. 3 comp ares the FHT distributions. The classical IG model, w h ich a ssum es constant drif t v 0 , fails to cap ture the oscillatory mo dulation of arr i val den sity and substantially overestimates peak amplitudes. In contrast, the pro posed C- IG density closely matches the Monte Carlo results across all time r egime s. The cumulative displacem ent M ( t ) accurately t 0 2 4 6 8 0 0.1 0.2 0.3 0.4 0.5 Pulsatile Drift: µ ( t ) = v 0 + A sin( ω t ), v 0 = 1 . 0, A = 2 . 0 f ( t ) Classical IG ( v 0 only) Proposed C-IG Monte Carlo (Unconditional) Fig. 3. First-hi tting-t ime distributio ns under sinusoidal pulsati le drift. T he proposed C-IG density captu res phase shifts and amplitude modulation, whereas the classical IG model fails to represe nt nonstation ary transport ef fects. predicts p hase-shifted arr ival pea k s, while the EPF mechan ism preserves nonzer o arrival proba bility du ring transient backflow intervals. These re sults demon strate that the C-IG framework extends the analytical tractability of the IG structure to strongly time- varying drift conditions, while retain ing con stant-complexity ev aluatio n. B. Robustness Under Abrupt Drift Switching T o verify that th e mo del is n ot tuned exclusi vely to sinu- soidal profiles, we next con sider a single-step switching drift: µ ( t ) = ( v 0 + A, t < T sw , v 0 − A, t ≥ T sw , (10) where the switching time is set to T sw = 1 . 5 . This mo d els a sud den flow reversal (e . g., mic r ofluidic pullb ack clearing) with a 50% d uty cycle so th at the a verage velocity matche s the classical IG ba selin e. This profile introd uces a d iscontinuity in the drift derivati ve and p roduce s large to tal variation in the d riving field . Und e r such abr upt switching , the classical IG mo del exhibits severe peak m isalig n ment and amplitude distortio n . In co n trast, the C-IG density rem ains stable. T he cumulative displacement M ( t ) corr ectly predicts the macroscopic phase transition at th e switchin g time, and the EPF prefactor p revents artificial tr u ncation during pullback in te r vals. As shown in Fig. 4 , the analytical d e nsity rep roduces both th e sharp p eak formation and the post-switch depletio n observed in M o nte Carlo simulation s. Remark (On Prefactor Stabilization) . For h ighly discontinu - ous dr ift p rofiles such as abr u pt switching , we adop t a runn ing- av erage baseline ¯ µ ( t ) = M ( t ) /t in the EPF p refactor to av oid overshoot ind u ced by large instantaneo us drift deviations. For smo oth p eriodic pro files, the instan taneous formulatio n t 0 1 2 3 4 5 6 0 0.2 0.4 0.6 0.8 1 Single-Step Drift ( T sw = 1 . 5 , A = 2) f ( t ) Switching Classical IG ( v 0 ) Proposed C-IG Monte Carlo (Unconditional) Fig. 4. First-hit ting-ti me distributi ons under single-st ep drift s witchi ng with T sw = 1 . 5 . The proposed C-IG den sity remains accurate unde r ab rupt dri ft v ariati on, while the classical IG model fails to align wit h the observe d phase transiti on. µ ( t ) − v 0 is sufficient and yields near ly identical results. This r efinement impr oves numer ical stab ility unde r large total- variation drift without altering the exponen tial core structu re of the C-IG mo del. C. Mod el Limitations an d Practical Imp lications While the C-I G model exhibits strong agreement with Monte Carlo simula tio ns, minor deviations appear in later arriv al peaks under highly n onstationary drift. These discrep- ancies arise from irreversible abso r ption effects—higher-order memory phenomena where early-arriving particles ar e p erma- nently removed, grad u ally skewing the surviving po p ulation in a manner not captured b y the C-IG d ensity . Nevertheless, these deviations remain second ary co mpared to the substantial mismatch o f the stationary IG baseline (see Fig. 3 ). By accurately capturin g ph ase m odulation and amplitude restruc- turing while preserv ing constant- complexity ev aluation, the C- IG framework r emains we ll- suited f or sy stem-lev el analysis, receiver optimizatio n , and real-time channel estimation in nonstationa ry MC systems. V . C O N C L U S I O N This pap er established a tractable analytical fram ew o rk for modelin g FHT d ynamics under nonstation ary dr ift. By lev eraging a chan ge-of- measure per spectiv e, we deri ved the C- IG density (see Eq. ( 9 ))—an explicit analytical e xpression that generalizes the classical I G mod el to dy n amic environments. Particle-le vel simulations confirmed that the C-IG mo d el ac- curately cap tures complex transport phe nomena, including phase mo dulation, multi-pu lse dispersion, and transient back - flow , while maintainin g constant ev aluation com plexity . This framework b ridges the gap betwe e n physics-faithful transport modeling a nd tracta b le ch annel analy sis, provid ing a ro bust found ation for the d e sign and o ptimization of nonstationary biological and MC systems. A C K N OW L E D G E M E N T This work was su pported b y the National Science a nd T ec hnolog y Council o f T aiwan (NSTC 113-2115 -M-008 -013- MY3). R E F E R E N C E S [1] V . Jamali, A. Ahmadzadeh , W . Wi cke, A. Noel, and R. Schober , “Channe l m odelin g for dif fusi ve molecula r communicat ion—a tutorial re view , ” P r oceedings of the IEEE , vol. 107, no. 7, pp. 1256–1301, 2019. [2] N. Farsad, H. B. Y ilmaz, A. Eckford, C.-B. Chae, and W . Guo, “ A comprehen siv e survey of rec ent adv ancemen ts in molecula r communi- catio n, ” IEE E Communications Surve ys & T utorial s , vol. 18, no. 3, pp. 1887–1919, 2016. [3] M. Pierobon and I. F . Akyildi z, “ A physical end-to-en d m odel for molecula r communicati on in nanonetw orks, ” IEE E Journal on Selected Area s in Commun ication s , v ol. 28, no. 4, pp. 602–611, 201 0. [4] A. Fick, “On liquid diffusion , ” T he London, Edinbur gh, and Dublin Philosophic al Maga zine and Journal of Scien ce , vol. 10, no. 63, pp. 30–39, 1855. [5] K. V . Sriniv as, A. W . Eckford, and R. S. Adve, “Molecul ar communi ca- tion in fluid media: T he additi ve in ver se Gaussian noise channel, ” IEE E T ransactio ns on Informati on Theory , vol. 58, no. 7, pp. 4678–4692, 2012. [6] Y . Chahibi, I. F . Akyil diz, S. Balasubr amaniam, and Y . Kouche ryavy , “Molec ular communica tion modeling of an tibody-medi ated drug deli v- ery systems, ” IEEE T ransactio ns on Biomedica l Engineeri ng , vol. 62, no. 7, pp. 1683–1695, 2015. [7] L. C. Wi lle, C. Pfanne nm ¨ uller , and J. Kirchner , “From steady to pulsatil e flo w in m olecu lar communication: Propag ation of nan opartic les in mid- sized arteries, ” IEEE Tr ansactions on Molecular , Biolo gical, and Mult i- Scale Communi cations , 2025. [8] S. Cho, T . C. Sykes, J. P . Coon, and A. A. Castrojo-Pita , “Electrophore tic molecula r communicati on with time-v arying electric fields, ” Nano Com- municati on Networks , vol. 31, p. 100381, 2022. [9] P . -C. Chou, Y .-F . Lo, C.-H. Lee, and P . -C. Y eh, “Mol ecula r communi- catio ns enhanced by time-v arying ele ctric field, ” IEEE T ransact ions on NanoBioscie nce , vol. 21, no. 2, pp. 301–311, 2022. [10] S. Uchida, “The pulsating viscous flow superpose d on the steady laminar motion of incompressible fluid in a circular pipe, ” Z. Angew . Math. Phys. (ZAMP) , v ol. 7, no. 5, pp. 403–422, 1956. [11] T . Koik e-Akino, J. Suzuki, and P . V . Orlik, “Molecul ar signal ing desig n expl oiting cyclost ationa ry drift-dif fusion fluid, ” in Pr oc. IEEE Global Communicat ions Confer ence (GLOBECOM) , Singapore , Dec. 2017. [12] T . N. Cao, A. Ahmadzade h, V . Jamali, W . Wic ke, P . L. Y eoh, J. Ev ans, and R. Schobe r , “Dif fusi ve m obile MC with absorbing recei vers: Stochast ic analysis and applicat ions, ” IE EE T ransactions on Molecular , Biolog ical, and Multi -Scale Commun icatio ns , vol. 5, no. 2, pp. 84–99, 2020. [13] B.-H. K oo, C. Lee, H. B. Y ilmaz , N. Fa rsad, A. W . Eckford, and C.-B. Chae, “Molecular MIMO: F rom theory to prototype, ” IEEE Jo urnal on Selec ted A re as in Communicatio ns , v ol. 34, no. 3, pp. 600–614, 2016. [14] D. Arifler and D. Arifler , “Mont e carl o ana lysis of molecule absorpt ion probabil ities in diffusion -based nanoscale communicatio n systems with multiple recei vers, ” IEE E Tr ansactions on Nanobioscienc e , vol. 16, no. 3, pp. 157–165, 2017. [15] J. Durbin , “The first-passage densit y of a continu ous gaussian proce ss to a gene ral boundary , ” J ournal of Applied Pr obability , vol. 22, no. 1, pp. 99–122 , 1985. [16] S. Redner , A Guide to F irst-P assage Proce sses . Cambridge Uni versity Press, 2001. [17] B. Øksendal, Stochastic Differ ential Equations: An Introdu ction with Applicat ions , 6th ed. Spr inger , 2002. [18] O. Calin , An Informal Intr oduction to Stoc hastic Calculus with Appli- cations . W orld Scie ntific, 2015. [19] D. D ¨ urr and A. Bach, “The onsager-mac hlup function as lagrangian for the most probable path of a dif fusion proc ess, ” Communications in Mathemat ical Physics , vol. 60, no. 2, pp. 153–17 0, 1978. [20] Y .-C. Lee, P .-C. Y eh, and C.-H. Lee, “Exact 3-D channel impulse response for spherica l recei vers with arbitrary drift direct ions, ” arXiv pre print arXiv:2 512.04858 , 2025.

Original Paper

Loading high-quality paper...

Comments & Academic Discussion

Loading comments...

Leave a Comment