A general framework for adaptive nonparametric dimensionality reduction
📝 Original Info
- Title: A general framework for adaptive nonparametric dimensionality reduction
- ArXiv ID: 2511.09486
- Date: 2025-11-12
- Authors: ** 논문에 명시된 저자 정보가 제공되지 않았습니다. (가능하면 원문에서 확인하시기 바랍니다.) **
📝 Abstract
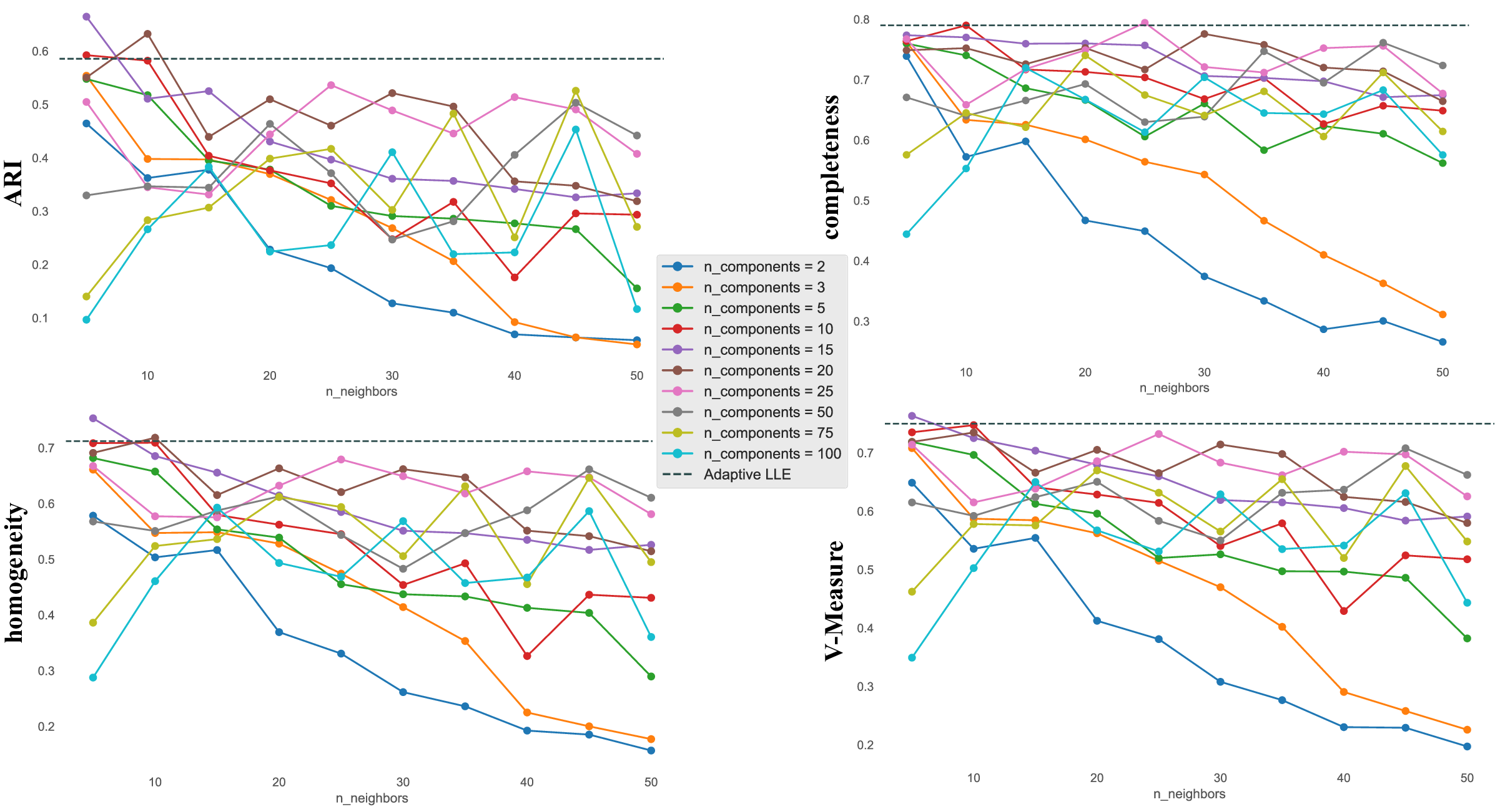
Dimensionality reduction is a fundamental task in modern data science. Several projection methods specifically tailored to take into account the non-linearity of the data via local embeddings have been proposed. Such methods are often based on local neighbourhood structures and require tuning the number of neighbours that define this local structure, and the dimensionality of the lower-dimensional space onto which the data are projected. Such choices critically influence the quality of the resulting embedding. In this paper, we exploit a recently proposed intrinsic dimension estimator which also returns the optimal locally adaptive neighbourhood sizes according to some desirable criteria. In principle, this adaptive framework can be employed to perform an optimal hyper-parameter tuning of any dimensionality reduction algorithm that relies on local neighbourhood structures. Numerical experiments on both real-world and simulated datasets show that the proposed method can be used to significantly improve well-known projection methods when employed for various learning tasks, with improvements measurable through both quantitative metrics and the quality of low-dimensional visualizations.💡 Deep Analysis

📄 Full Content
📸 Image Gallery

Reference
This content is AI-processed based on open access ArXiv data.