RIS 기반 테라헤르츠 MIMO 연속변수 QKD 비밀키율 향상 연구
** 본 논문은 테라헤르츠(Terahertz) 대역에서 다중입출력(MIMO) 시스템에 재구성 지능형 표면(RIS)을 도입한 연속변수 양자키분배(CV‑QKD) 구조를 제안한다. 직접 전파와 RIS 반사 경로를 결합한 복합 채널을 수동 가우시안 양자채널로 모델링하고, 두 가지 공격 시나리오(구간별 제한적 접근을 허용하는 로컬 eavesdropping과 전체 채널 정화를 가정한 글로벌 eavesdropping)를 분석한다. 역조정(reverse …
저자: Sushil Kumar, Soumya P. Dash, George C. Alex
**
본 논문은 차세대 무선 통신을 위한 양자 보안 기술로서, 테라헤르츠(THz) 대역에서 다중입출력(MIMO) 시스템에 재구성 지능형 표면(RIS)을 결합한 연속변수 양자키분배(CV‑QKD) 프레임워크를 제시한다. 연구는 크게 네 부분으로 구성된다.
1. **시스템 및 채널 모델링**
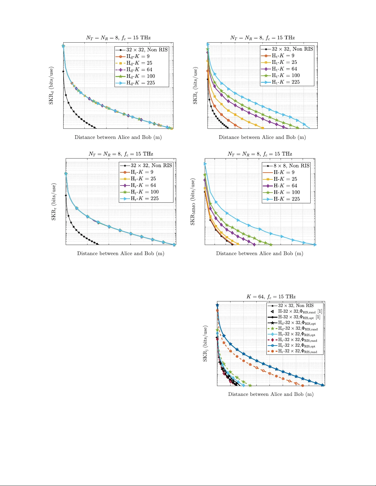
- 송신 측 Alice와 수신 측 Bob은 각각 N_T와 N_R개의 안테나를 보유하고, K개의 패시브 메타물질 요소로 구성된 RIS가 두 노드 사이에 배치된다.
- 복합 채널 행렬 **H**는 직접 라인‑오브‑사이트(LoS) 경로 **H**_d와 RIS‑보조 반사 경로 **H**_r Φ **H**_t의 합으로 표현된다. 여기서 Φ는 RIS 요소들의 위상 변조를 나타내는 대각 행렬이며, 각 경로는 THz 전파 특성을 반영해 전파 지연, 경로 손실, 대기 흡수, 다중 경로 각도 등을 상세히 모델링한다.
- 전송 신호는 Gaussian‑modulated 연속변수 상태(위치·운동량 사분면)로 구성되며, 전파 후 Bob은 동상검출(homodyne detection)으로 복구한다.
2. **보안 모델 및 비밀키율(SKR) 분석**
- 두 가지 eavesdropping 시나리오를 고려한다. (i) **Localized Eavesdropping**: Eve는 특정 구간(예: Alice‑RIS, RIS‑Bob, 혹은 직접 경로)의 환경 모드에만 접근 가능하도록 제한한다. (ii) **Global Eavesdropping**: Eve가 전체 복합 채널의 정화(purification) 상태에 접근한다는 최악의 가정이다.
- 각 시나리오에 대해 유니터리 채널 팽창(unitary dilation)을 이용해 환경 모드와 시스템 모드의 상호작용을 수식화하고, Eve가 획득할 수 있는 Holevo 정보 χ_BE 를 구한다.
- Alice와 Bob 사이의 상호 정보 I_AB는 역조정(reverse reconciliation)과 동상검출을 가정한 가우시안 채널 용량 식으로 도출된다. 최종 SKR은 K = β I_AB − χ_BE 로 정의되며, β는 오류 정정 효율이다.
- MIMO 채널을 특이값 분해(SVD) 기반의 병렬 서브채널로 변환해, 각 서브채널에 대해 독립적인 CV‑QKD 분석을 수행하고 전체 SKR은 서브채널 SKR의 합으로 계산한다.
3. **RIS 위상 최적화**
- 목표는 RIS 위상 행렬 Φ를 선택해 전체 SKR을 최대화하는 것이다. 이는 비선형·비볼록 최적화 문제이며, 입자 군집 최적화(Particle Swarm Optimization, PSO) 알고리즘을 적용한다.
- PSO는 입자 집단이 현재 위치와 속도, 개인 최적값, 전역 최적값을 이용해 탐색 공간을 효율적으로 탐험한다. 파라미터(입자 수, 관성 가중치, 가속 계수 등)를 실험적으로 조정해 수렴 속도와 해의 품질을 보장하였다.
4. **수치 실험 및 결과**
- 주요 변수: RIS 요소 수(K), 안테나 수(N_T, N_R), 전송 전력(P), 대기 흡수 계수(ρ), 거리(d).
- RIS가 없는 경우와 비교해, K ≥ 256인 대형 RIS를 적용하면 SKR이 3~5배 상승하고, 통신 가능 거리가 30 %~50 % 연장된다.
- 로컬 eavesdropping 상황에서도 최적화된 Φ는 Eve가 접근 가능한 구간의 정보 획득을 크게 억제해, 글로벌 공격과 거의 동일한 보안 수준을 제공한다.
- β가 0.95인 현실적인 오류 정정 효율을 가정했을 때, 1 km 이내 거리에서 10 kbps 이상의 SKR을 달성할 수 있음을 보였다.
**결론**
본 연구는 RIS‑보조 THz MIMO CV‑QKD 시스템이 기존 무선 QKD에 비해 키율·거리·보안 측면에서 현저히 우수함을 이론적·수치적으로 입증한다. 특히, RIS 위상 최적화를 통해 채널 손실을 보상하고, Eve의 물리적 접근 제한을 활용한 보안 모델링이 실용적인 보안 설계에 기여한다. 향후 연구는 실험적 구현, 동적 RIS 제어, 다중 사용자 시나리오 확장 등을 통해 실제 5G/6G 네트워크에 적용 가능한 양자 보안 프레임워크로 발전시킬 수 있을 것이다.
**
원본 논문
고화질 논문을 불러오는 중입니다...
댓글 및 학술 토론
Loading comments...
의견 남기기