일반화된 셀프와이너 필터링으로 잡음 억제 혁신

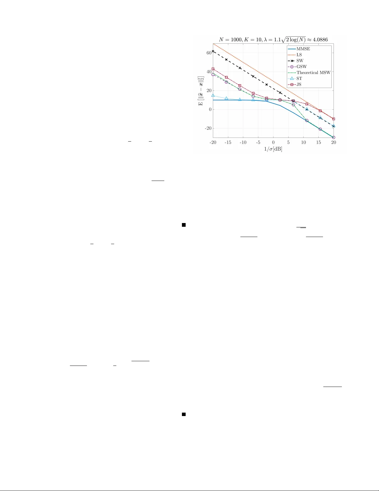
본 논문은 기존 셀프‑와이너(SW) 필터를 일반화하여, 가변 임계값 λ를 도입한 GSW(Generalized Self‑Wiener) 필터를 제안한다. A​WGN 모델에서 각 성분에 비선형 수축 연산을 적용하고, 고·저 SNR 구간에서 평균제곱오차(MSE)를 폐쇄형으로 분석한다. 고 SNR에서는 오라클 MMSE에 근접하고, 저 SNR에서는 강력한 잡음 억제를 제공한다. 시뮬레이션을 통해 LS, James‑Stein, 소프트‑임계값 등 기존 방법보…

저자: Amir Weiss

일반화된 셀프와이너 필터링으로 잡음 억제 혁신
본 논문은 최근 제안된 셀프‑와이너(SW) 필터를 일반화하여, 표준 가우시안 잡음 모델 하에서 적용 가능한 GSW(Generalized Self‑Wiener) 필터를 제시한다. 서론에서는 신호‑잡음 분리 문제의 중요성을 강조하고, 기존 Wiener 선형 필터와 비선형 임계값 기반 방법(소프트‑임계값, James‑Stein 등)의 한계를 지적한다. 특히 SW 필터가 deconvolution에 특화되어 고정 임계값(λ=2)만을 사용함으로써 저 SNR 상황에서의 유연성이 부족함을 언급한다. 문제 정의 섹션에서는 y = x + σξ 형태의 복소수(또는 실수) 모델을 채택하고, 유니터리 변환 후에도 동일한 형태가 유지됨을 보인다. 목표는 각 성분에 대해 스칼라 추정기 ˆxₙ(yₙ)를 설계하고, MSE = E

원본 논문

고화질 논문을 불러오는 중입니다...

댓글 및 학술 토론

Loading comments...

의견 남기기