지수‑다항 발산 기반 강건 정보 기준: 패널 데이터와 신경망 모델 선택의 새로운 접근

본 논문은 지수‑다항 발산(EPD)을 이용한 강건 정보 기준(EPDIC)을 제안한다. EPD는 기존의 Kullback‑Leibler, Density Power Divergence, Bregman Exponential Divergence 등을 하나의 3‑파라미터 틀로 통합한다. 제안된 기준은 영향함수 분석을 통해 제한된 영향력을 보이며, 일반화 점수 매칭(GSM)으로 데이터‑드리븐 튜닝 파라미터를 선택한다. 시뮬레이션과 실제 패널 데이터·신경망 …

저자: Udita Goswami, Shuvashree Mondal

지수‑다항 발산 기반 강건 정보 기준: 패널 데이터와 신경망 모델 선택의 새로운 접근
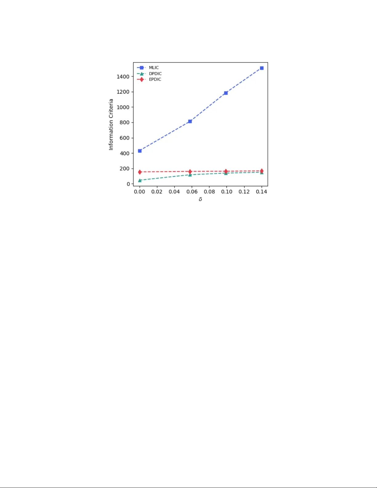
본 논문은 현대 통계·머신러닝에서 모델 선택이 직면하는 데이터 오염·이상치 문제를 해결하고자, 기존 likelihood‑기반 정보 기준(AIC, BIC 등)의 비강건성을 극복하는 새로운 프레임워크를 제시한다. 핵심 아이디어는 지수‑다항 발산(Exponential‑Polynomial Divergence, EPD)이라는 3‑파라미터(α,β,γ) 발산 함수를 도입해, Kullback‑Leibler, Density Power Divergence(DPD), Bregman Exponential Divergence(BED) 등을 연속적으로 연결하는 것이다. 1. **EPD 정의 및 특성** - 생성함수 B(x)=β·α⁻²(e^{αx}−1−αx)+(1−β)·γ·(x^{γ+1}−x) 로 정의되며, β∈

원본 논문

고화질 논문을 불러오는 중입니다...

댓글 및 학술 토론

Loading comments...

의견 남기기