제약 비선형 시스템을 위한 안전 인식 성능 향상 제어 구조

본 논문은 비선형 제약 시스템에 대해 성능 향상(PB) 컨트롤러와 스케줄링 가능한 예측 안전 필터(PSF)를 결합한 새로운 제어 아키텍처를 제안한다. PB 컨트롤러는 성능 입력과 Lyapunov 감소율을 스케줄링 신호로 제공하고, PSF는 이를 기반으로 입력을 필터링하면서 상태·입력 제약을 보장한다. 저자는 (i) ℓ₂ 안정성을 설계 단계에서 보장하고, (ii) 고정 감소율을 사용하는 기존 PSF 대비 안전하고 안정적인 궤적 집합을 엄격히 확장…

저자: Danilo Saccani, Haoming Shen, Luca Furieri

제약 비선형 시스템을 위한 안전 인식 성능 향상 제어 구조
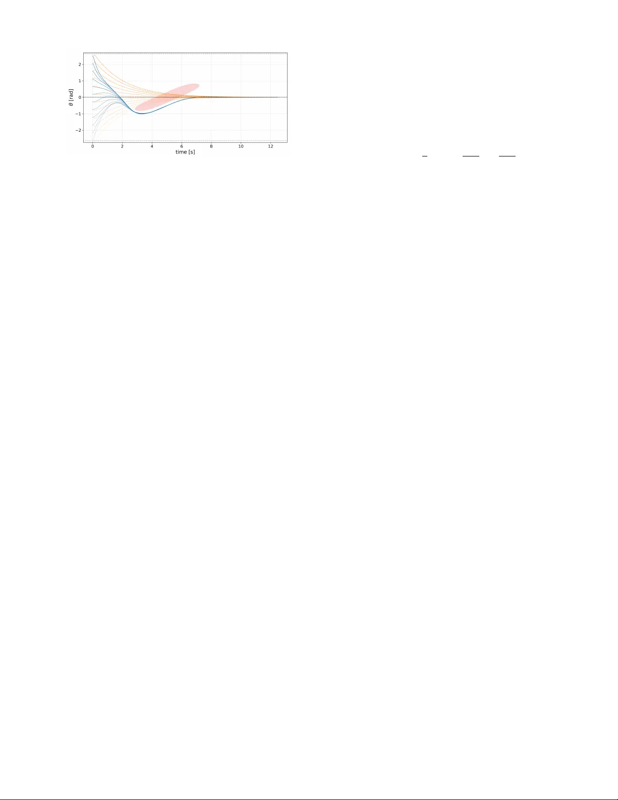
1. **연구 배경 및 동기** 비선형 시스템에서 안전(제약)과 성능(목표 달성)을 동시에 보장하는 제어 설계는 여전히 도전 과제이다. 전통적인 모델 예측 제어(MPC)는 제약을 직접 다루지만, 안전·성능·안정성을 하나의 최적화 문제에 통합하면 계산량이 급증하고 보수적인 정책이 도출된다. 최근 강화학습(RL) 등 데이터‑기반 방법은 표현력은 높지만, 안전·안정성에 대한 형식적 보장은 부족하다. 이러한 배경에서 예측 안전 필터(PSF)라는 개념이 등장했으며, PSF는 기존 제어 입력을 필터링해 제약을 만족하도록 보장한다. 그러나 기존 PSF는 고정된 Lyapunov 감소율 ρ < 1을 사용해 매 단계마다 일정한 안정 마진을 요구한다. 이는 입력 허용 집합을 점차 축소시켜, 복잡한 전이 행동(예: 장애물 회피)을 수행할 수 없게 만든다. 2. **제안된 아키텍처** 논문은 세 부분으로 구성된 구조를 제안한다. (i) **Performance‑Boosting(PB) 컨트롤러** M_θ(·): 상태 시퀀스를 입력받아 ℓ₂‑안정적인 성능 입력 u_L을 생성한다. (ii) **스케줄링 함수 ψ**: u_L의 ℓ₂‑노름을 실시간으로 매핑해 Lyapunov 감소율 ρ_t를 결정한다. ψ는 초기에는 완화된(ρ > \barρ) 값을 허용하고, u_L가 감소하면 결국 \barρ( < 1)으로 수렴하도록 설계된다. (iii) **예측 안전 필터(PSF)**: (6)식에 따라 최적화 문제를 풀어, u_L와 현재 ρ_t를 이용해 필터링된 입력 u를 산출한다. PSF는 제약(X, U)과 Lyapunov 감소 조건을 동시에 만족하도록 설계되며, 첫 입력 u*_0|t를 실제 시스템에 적용한다. 3. **수학적 모델링 및 가정** 시스템은 무잡음 비선형 이산시간 모델 x_{t+1}=f(x_t,u_t) 로 정의된다. 상태·입력 제약은 컴팩트 집합 X, U에 포함된다. 성능은 할인된 무한히 긴 비용 L(x,u)=E_{x0∼D}

원본 논문

고화질 논문을 불러오는 중입니다...

댓글 및 학술 토론

Loading comments...

의견 남기기