선형 최적화를 위한 의사결정 충분 표현 학습

본 논문은 비용 벡터가 사전 집합 𝒞 에 포함되는 선형 프로그램에서 최적 해를 복원하기 위해 필요한 최소한의 측정 집합을 연구한다. 기존의 전역 충분 데이터셋(SDD) 구성 방법이 혼합정수계획에 의존해 계산적으로 어려운 점을 지적하고, d* 라는 내재적 의사결정 차원을 구하는 문제가 NP‑hard, 전역 충분성 검증이 coNP‑hard임을 증명한다. 이를 회피하기 위해 개별 비용 벡터에 대해 충분성을 요구하는 ‘점별 충분성’ 개념을 도입하고, …

저자: Yuhan Ye, Saurabh Amin, Asuman Ozdaglar

선형 최적화를 위한 의사결정 충분 표현 학습
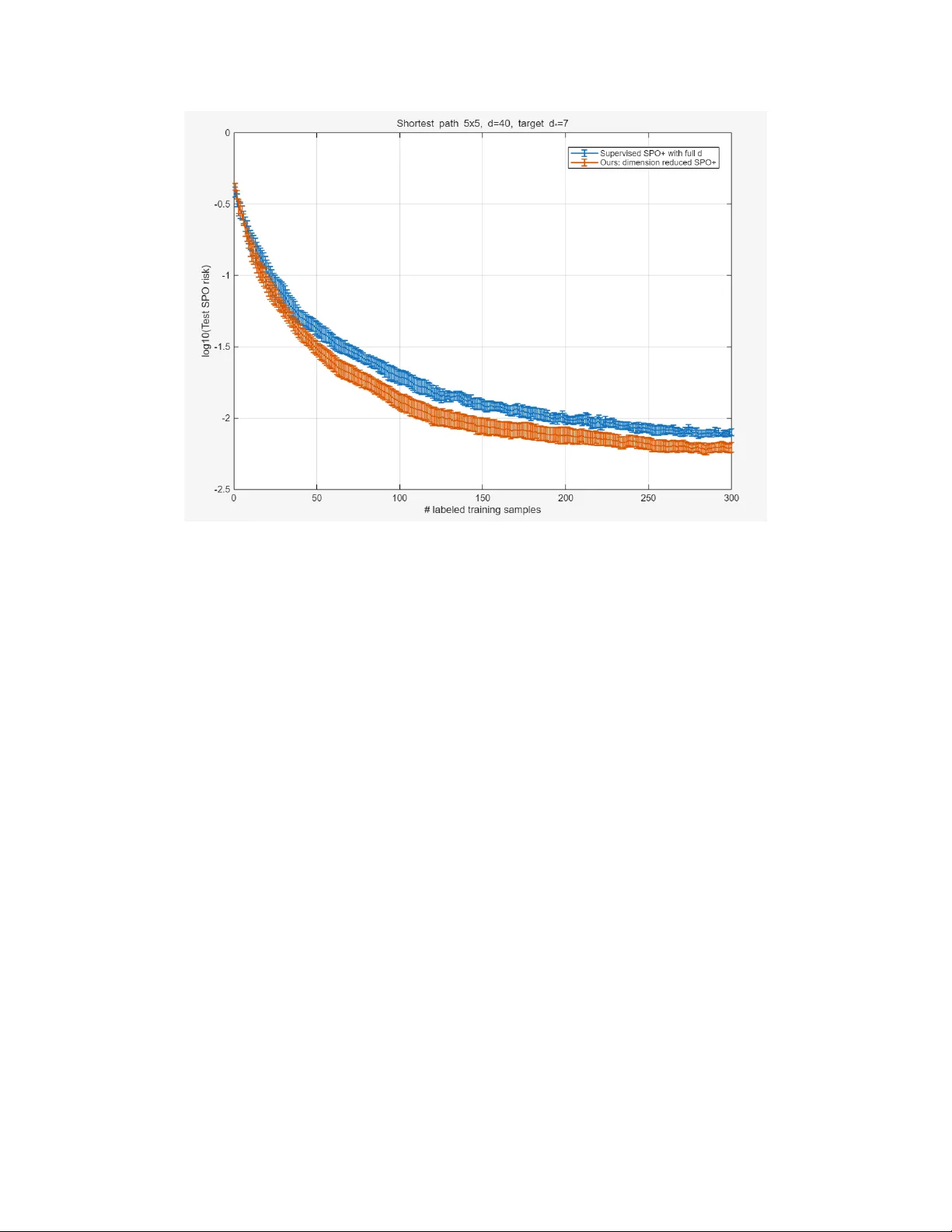
본 논문은 비용 벡터 c 가 미지이며 사전 집합 𝒞 에 포함된 선형 프로그램 min_{x∈X} cᵀx 의 최적 해를 복원하기 위해 필요한 최소한의 선형 측정 qᵀc 들을 어떻게 선택하고, 그 측정 집합이 충분(sufficient)한지를 체계적으로 연구한다. 1. **문제 정의 및 기존 연구** - 선형 프로그램의 feasible set X 는 다항식 제약 Ax=b, x≥0 으로 정의된 유한 다면체이며, 비용 벡터 c 는 직접 관측되지 않는다. 대신 의사결정자는 쿼리 방향 q_i∈ℝ^d 를 선택해 s_i = q_iᵀc 라는 내적값을 얻을 수 있다. - Bennouna et al. (2025a)는 전역 충분 데이터셋(SDD)의 존재와 최소 크기를 결정하는 내재 차원 d* 을 정의하고, 데이터셋 D 의 span이 결정‑관련 서브스페이스 W* (차원 d*)를 포함하면 전역 충분성을 만족한다는 기하학적 특성을 제시했다. 그러나 최소‑크기 SDD를 구성하기 위해서는 매 단계마다 혼합정수계획(MIP)을 풀어야 하는 비현실적인 알고리즘이 필요했다. 2. **복잡도 하드니스** - 저자들은 d* 을 계산하는 문제가 NP‑hard임을 증명(Theorem 5)하고, 빈 데이터셋 D=∅ 이 전역 충분한지를 판단하는 문제가 coNP‑hard임을 보인다(Theorem 10). 이는 전역적인 “모든 c∈𝒞”에 대해 충분성을 보장하려는 시도가 일반적으로 계산적으로 불가능함을 의미한다. - 또한, 점별 충분성 검증 자체도 일반적인 경우 coNP‑hard임을 (Theorem 9) 통해 강조한다. 3. **점별 충분성(Pointwise Sufficiency) 정의 및 검증** - 전역 충분성을 완화하여, 특정 비용 벡터 c 에 대해서만 충분성을 요구한다. 즉, 관측된 측정값 s(c;D) 에 의해 정의된 섬유 𝒞(D,s) 내의 모든 c′ 가 동일한 최적 해 집합을 갖는지를 검사한다. - 비퇴화 가정(모든 최적 기저가 고유하고, 기본 해가 다면체의 내부에 존재) 하에서는 점별 충분성 검증이 d−m 개의 ‘face‑intersection(FI)’ 서브문제로 환원된다. FI 문제는 주어진 최적 기저에 대해 특정 면과의 교차 여부를 판단하는 것으로, 𝒞가 H‑표현된 폴리토프이거나 타원체인 경우 다항시간에 해결 가능하다(Property 21). 4. **다항시간 절단면 알고리즘 (Algorithm 1)** - 초기 측정 집합 D 를 빈 집합으로 시작하고, 점별 충분성 검증이 실패하면 현재 최적성 원뿔(optimality cone) 내부에서 최초로 마주치는 면의 법선 q 을 선택한다. 이를 ‘facet‑hit’ 규칙이라 부른다. - 새로 추가된 q 는 기존 방향들과 선형 독립이며, 반드시 W* 에 속한다. 따라서 알고리즘은 최대 d* 번의 쿼리 후에 점별 충분 데이터셋을 완성한다(Theorem 20). 5. **데이터‑주도 누적 학습 (Algorithm 2)** - 비용 벡터를 i.i.d. 샘플 c₁,…,c_n 으로부터 얻고, 각 샘플에 대해 Algorithm 1을 실행한다. 대부분의 샘플은 이미 확보된 측정 집합으로 충분성을 만족하지만, ‘어려운’ 샘플에서는 새로운 측정 방향을 추가한다. - 이 과정은 Hanneke‑Kontorovich의 안정적 압축(s​table compression) 프레임워크와 일치하여, 전체 압축 크기가 d* 이하가 된다. 결과적으로, n개의 학습 샘플에 대해 “새로운 비용 벡터에 대한 점별 충분성 실패 확률 ≤ ˜O(d*/n)”이라는 분포‑자유 PAC 보장을 얻는다(Theorem 25). 하한(Theorem 26)도 동일한 차수 의존성을 보여 상한이 최적임을 확인한다. 6. **컨텍스트 선형 최적화에의 적용** - 비용 벡터 c 를 예측하는 모델을 학습하는 컨텍스트 선형 최적화(예: SPO) 문제에, 학습된 W* 서브스페이스를 사전 차원 축소 단계로 삽입한다. - 이렇게 하면 일반화 경계가 기존 ˜O(√(d/n)) 에서 ˜O(√(d*/n)) 로 개선된다(Theorem 27). 실험적으로도 차원 축소가 예측 정확도와 최적 해 복원률 모두를 크게 향상시킴을 확인한다. 7. **기술적·학문적 의의** - 전역 충분성의 계산적 비가능성을 명시적으로 증명함으로써, 기존 연구의 한계를 명확히 했다. - 점별 충분성이라는 새로운 개념과 다항시간 절단면 알고리즘을 통해, 실용적인 데이터 수집·압축 방법을 제공한다. - 압축 기반 PAC 분석을 활용해 빠른 k/n 형 오류율을 달성했으며, 이는 전통적인 평균‑값 기반 접근법(예: 데이터‑주도 투영)의 O(1/√n) 속도와 근본적인 차이를 만든다. - 마지막으로, 의사결정‑중심 학습(paradigm)과 전통적인 기계학습 이론(압축, 활성학습, 다변량 통계) 사이의 교차점을 풍부히 탐구함으로써, 향후 선형·정수 최적화와 학습의 통합 연구에 중요한 토대를 제공한다.

원본 논문

고화질 논문을 불러오는 중입니다...

댓글 및 학술 토론

Loading comments...

의견 남기기