컨포멀 필드 이론의 순간 부트스트랩: 새로운 켁과 스펙트럼 재구성

본 논문은 OPE 순간을 정의하고, 반정밀도 SDP 기법으로 단위성·교차대칭을 만족하는 CFT의 순간 변수에 대한 엄격한 경계들을 구한다. 무거운 상관함수 한계에서 분석적 파워법칙과 일치함을 확인하고, 3d 이징 모델의 순간을 재현한다. 특히 2 < d < 6 구간에서 두 개의 연속적인 켁 라인을 발견해, 연산자 탈동조 현상과 연관된 스펙트럼 재구성을 제시한다.

저자: Li-Yuan Chiang, David Pol, Gordon Rogelberg

컨포멀 필드 이론의 순간 부트스트랩: 새로운 켁과 스펙트럼 재구성
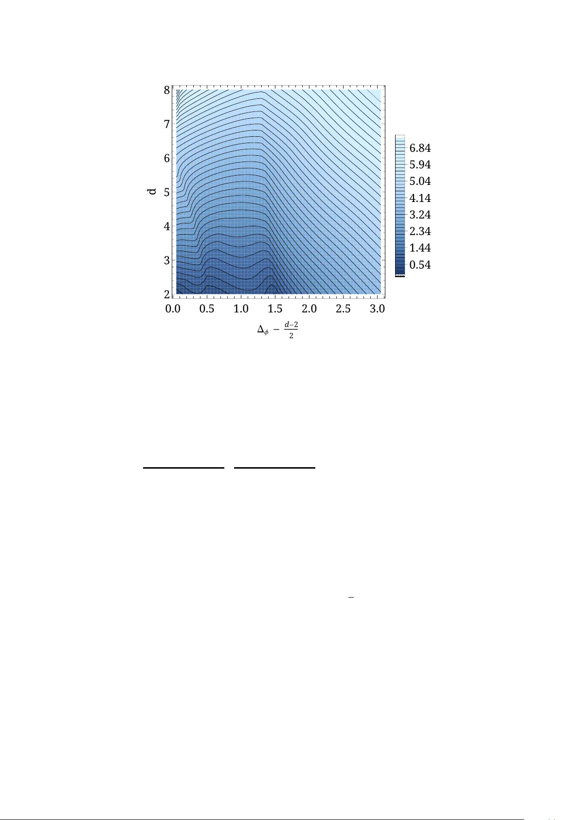
본 논문은 “순간 부트스트랩”이라는 새로운 프레임워크를 제시한다. 기존의 컨포멀 부트스트랩은 교차 방정식과 단위성이라는 무한개의 선형 제약을 이용해, 개별 연산자 차원·스핀·OPE 계수를 직접 제한한다. 저자들은 여기서 한 걸음 더 나아가, OPE 데이터를 가중 평균한 순간 변수 ν_k와 ν_{m,n}을 정의한다. 이 순간은 λ_{ϕϕO}^2·g_{Δ,ℓ}(½,½)·Δ^k·ℓ^n 형태의 양의 측도 p_ℓ(Δ) 위에서의 적분으로, 통계학에서의 모멘트와 동일한 의미를 갖는다. 논문 2.1절에서는 순간의 정의와 정규화(ν_k/ν_0) 방식을 상세히 설명하고, 식 (2.4), (2.5)에서 Δ와 ℓ에 대한 혼합 순간을 도입한다. 2.2절에서는 이러한 순간을 제한하는 문제를 무한 차원의 선형 프로그램으로 서술하고, 이를 기존 SDP 솔버인 SDPB로 구현한다. 교차 방정식은 자기쌍대점(z=½)에서 단순히 ∑λ^2 F_{Δ,ℓ}(½,½)=0 형태가 되며, 여기서 F는 s‑t 교차 차이를 나타내는 블록 조합이다. 이 식을 순간에 대한 선형 제약으로 변환하면, 순간들의 히랄 행렬이 양의 반정성을 만족해야 함을 얻는다. 3절에서는 “무거운 상관함수(limit of heavy correlators)”를 다룬다. 외부 차원 Δ_ϕ가 크게 증가하면, 블록은 Δ^α·e^{−(Δ−2Δ_ϕ)} 형태로 억제되고, 순간은 Δ_ϕ에 대한 단순한 다항식 성장과 곱해진 상수 C_k를 갖는다. 저자들은 이론적 예측과 수치 SDP 결과를 비교해, Δ_ϕ≈3 정도부터 이미 파워법칙과 1% 이내의 일치를 보임을 확인한다. 또한, 최대 엔트로피 재구성 방법을 적용해 제한된 순간(ν_0~ν_4)만으로 OPE 밀도 ρ(Δ)≈A·Δ^{α}·e^{−(Δ−2Δ_ϕ)} 형태를 복원한다. 이는 순간이 전체 스펙트럼의 “거친” 형태를 포착한다는 강력한 증거이다. 4절에서는 3d 이징 모델(⟨σ σ σ σ⟩)을 사례 연구한다. 기존 수치와 분석 결과로부터 Δ_σ≈0.518, Δ_ε≈1.412, 그리고 주요 OPE 계수를 얻어 순간을 직접 계산한다. 부트스트랩 경계와 비교하면, 이 모델은 ν_0, ν_1, ν_2 등 낮은 차수 순간에서 모두 경계에 거의 닿는다. 이는 이징 모델이 순간 공간의 “코너(kink)”에 위치한다는 것을 의미한다. 저자들은 이 현상이 단순히 첫 번째 스펙트럼 갭을 최적화하는 것이 아니라, 전체 순간 분포를 동시에 최적화하는 특수한 구조임을 강조한다. 5절은 논문의 핵심 결과인 “새로운 켁 라인”을 제시한다. 2 < d < 6 구간 전역에 걸쳐 두 개의 연속적인 켁이 발견되었다. 첫 번째 켁은 Δ_gap≈2Δ_ϕ와 연관된 “클리프” 전후에서 나타나며, 여기서는 ν_1/ν_0(평균 차원)와 ν_2/ν_0(분산) 사이에 급격한 전이가 있다. 이 전이는 특정 스핀 ℓ=0,2 연산자들의 급격한 탈동조와 새로운 스핀 ℓ≥4 연산자들의 등장으로 설명된다. 두 번째 켁은 “밸리-힐” 구조 사이에 위치해, 고차 순간(ν_3, ν_4 등)에서 새로운 제약을 만든다. 특히 ν_3/ν_0(왜도)와 ν_4/ν_0(커투시스)가 이 켁에서 급변하며, 이는 스펙트럼이 단순히 갭을 넘어 복잡한 재배열을 겪는다는 것을 시사한다. 부록에서는 (A) 블록의 유리근사, (B) 2d 상관함수에서의 순간, (C) 차원별 이징 순간, (D) 최대 엔트로피 재구성, (E) 가짜 기본 상태(Fake-primary) 재매핑 등을 상세히 기술한다. 특히 (E)에서는 일반화 자유 이론(GFF)에서의 순간을 “가짜 기본 상태”라는 새로운 해석으로 재구성해, 순간이 실제 기본 연산자와 그 후계자들의 혼합임을 보여준다. 결론(6절)에서는 순간 부트스트랩이 기존 부트스트랩이 접근하기 어려웠던 전역적인 스펙트럼 구조를 포착한다는 점을 강조한다. 순간은 연산자 차원·스핀·OPE 계수의 통계적 요약이므로, SDP를 통한 전역적인 경계 설정이 가능하고, 새로운 켁을 통해 아직 알려지지 않은 CFT 후보들을 탐색할 수 있다. 또한, EFT 부트스트랩, 2d 모듈러 부트스트랩 등에서 사용된 “양의 순간” 기법과 수학적으로 동일한 구조를 공유함을 언급하며, 순간 부트스트랩이 CFT 연구의 새로운 좌표계가 될 가능성을 제시한다.

원본 논문

고화질 논문을 불러오는 중입니다...

댓글 및 학술 토론

Loading comments...

의견 남기기