온라인 의견 역학 제어와 미지 감수성 파라미터 추정

본 논문은 사회 네트워크에서 개인들의 외부 영향에 대한 감수성(취약성) 파라미터가 알려지지 않은 상황에서, 플래너가 제한된 예산으로 목표 의견으로 의견을 수렴시키는 온라인 제어 알고리즘을 제안한다. 제안 방법은 감수성 파라미터를 순차적으로 추정하고, 현재 추정값을 이용해 최적 제어 입력을 계산한다. 안정성, 수렴 속도, 비용-시간-정확도 트레이드오프에 대한 이론적 보장을 제공하며, 유한 시간·예산 제약 하에서 목표 정확도를 달성할 수 있는 조건…

저자: Sheryl Paul, Leslie Cruz Juarez, Jyotirmoy V. Deshmukh

온라인 의견 역학 제어와 미지 감수성 파라미터 추정
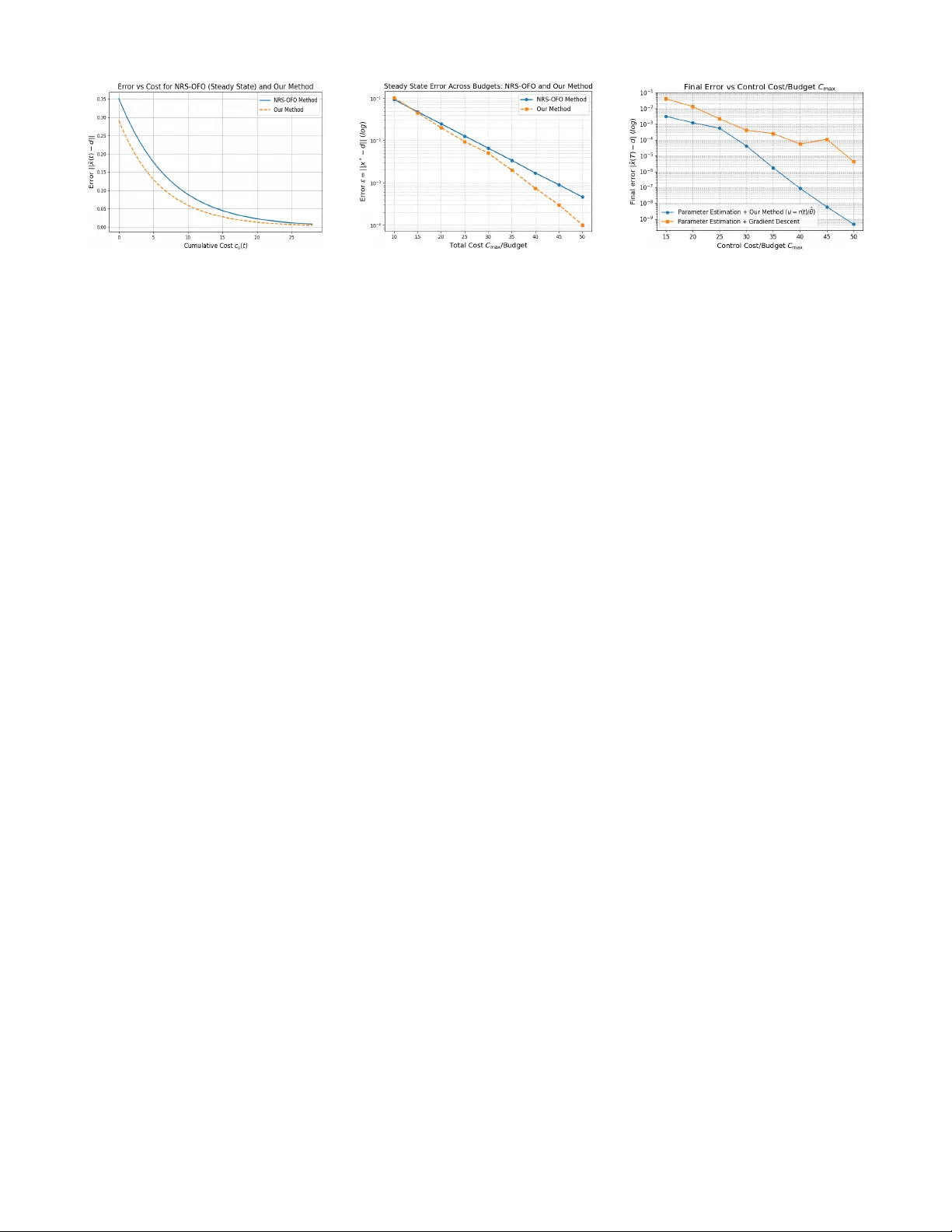
본 논문은 사회 네트워크 내에서 개인들의 의견이 상호 작용을 통해 시간에 따라 변화하는 현상을 수학적으로 모델링하고, 외부 플래너가 제한된 예산으로 목표 의견 d 에 의견을 수렴시키는 문제를 다룬다. 기존의 Friedkin‑Johnsen(FJ) 모델은 Λ (에이전트의 상호 영향 감수성)와 라플라시안 L 을 이용해 고정점을 정의하지만, 플래너가 직접 개입하는 메커니즘을 포함하지 않는다. 이를 보완하기 위해 저자들은 두 번째 시간 스케일을 도입한 식(2)를 제시한다. 여기서 H=diag(h₁,…,h_N) 은 플래너에 대한 각 에이전트의 감수성(취약성) 행렬이며, U(t)=diag(u(t)) 는 시간에 따라 변하는 제어 입력을 나타낸다. 식(2)의 형태는 x(t)=V

원본 논문

고화질 논문을 불러오는 중입니다...

댓글 및 학술 토론

Loading comments...

의견 남기기