페르미온 비가우시안성의 비대칭 하한

본 논문은 페르미온 가우시안 상태와 일반 페르미온 상태 사이의 차이를 비가우시안성이라는 자원 이론적 양으로 정의하고, 이 비가우시안성을 입자수 샤논 엔트로피(또는 순수 상태에서는 U(1) 비대칭)와 연결한다. 입자수 엔트로피의 지수 형태로 비가우시안성의 상대 엔트로피 하한을 도출하고, 대규모 시스템에서 그 타이트함을 수치적으로 검증한다.

저자: Filiberto Ares, Michele Mazzoni, Sara Murciano

페르미온 비가우시안성의 비대칭 하한
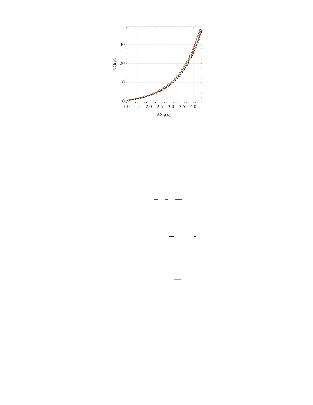
본 연구는 페르미온 가우시안 상태와 일반 페르미온 상태 사이의 차이를 정량화하는 새로운 이론적 틀을 제시한다. 먼저, 페르미온 가우시안 상태는 2점 상관행렬 Γ 로 완전히 기술되며, 이들 상태는 Wick 정리를 만족한다는 점을 강조한다. 비가우시안성이라는 자원은 양자 자원 이론(QRT)에서 “비가우시안성”을 자유 상태(가우시안)와 자유 연산(가우시안 변환)으로 정의하고, 상대 엔트로피 NG(ρ)=min_{σ∈G} S(ρ‖σ) 로 측정한다. 여기서 최적 σ는 동일한 상관행렬을 갖는 가우시안화 상태 ρ_G이며, NG(ρ)=S(ρ_G)−S(ρ) 로 간단히 표현된다. 순수 상태에서는 ρ의 엔트로피가 0이므로 NG는 ρ_G의 엔트로피와 동일하게 계산된다. 다음으로, 입자수 연산자 Q=∑_j c_j†c_j 를 도입하고, 그 확률분포 p_q=Tr

원본 논문

고화질 논문을 불러오는 중입니다...

댓글 및 학술 토론

Loading comments...

의견 남기기