반응‑확산 시스템을 위한 최적 제어 비용 증분 공식 및 단조 하강 알고리즘

본 논문은 Banach 공간 위의 유한 채널 반감선형 진화 방정식에 대한 최적 제어 문제를 다루며, 기준 제어에 대한 비용 함수 전체 증분을 정확히 표현하는 공식(Exact Cost‑Increment Formula)을 도출한다. 이를 기반으로 선형화나 스텝‑사이즈 조정 없이도 비용을 비증가시키는 단조 하강 절차를 설계하고, 샘플‑앤‑홀드 방식의 구현 방안을 제시한다. 존재성 이론과 함께 반응‑확산 PDE 예제를 통해 실효성을 검증한다.

저자: Roman Chertovskih, Nikolay Pogodaev, Maxim Staritsyn

반응‑확산 시스템을 위한 최적 제어 비용 증분 공식 및 단조 하강 알고리즘
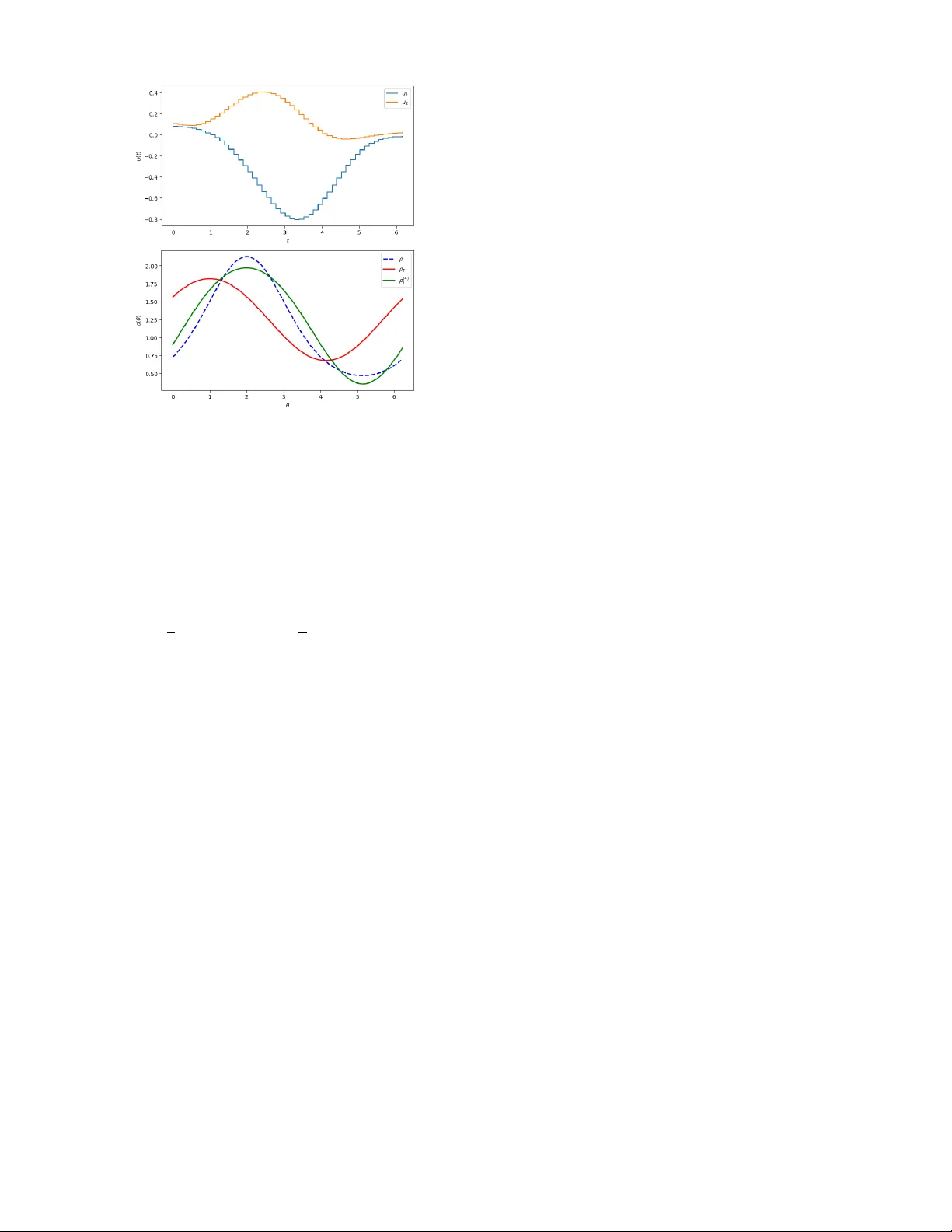
**1. 서론** 논문은 Banach 공간 위에서 정의되는 반감선형 진화 방정식의 최적 제어 문제를 다룬다. 기존 연구는 주로 1차 최적성 조건이나 국소적인 선형화 기반 수치법에 의존했으나, 이러한 접근법은 전역적인 수렴 보장이 어렵고 스텝‑사이즈 선택에 민감하다. 저자들은 기준 제어에 대한 비용 전체 증분을 정확히 표현하는 공식을 도출함으로써, 이러한 한계를 극복하고자 한다. **2. 문제 설정 및 기본 가정** - 상태 공간 \(X\)는 실 Banach 공간이며, 연산자 \(A\)는 \(C_0\) 반군을 생성한다. - 비선형 항 \(f(t,x)\)와 제어 연산자 \(G(t,x)\)는 전역 리프시츠 연속이며, (A\(^+\))에 따라 \(C^1\) 정칙성을 가진다. - 제어 집합 \(U\subset\mathbb{R}^m\)는 유한 차원이며 콤팩트하고, \(L^\infty\) 형태로 정의한다. - 비용 함수는 최종 비용 \(\ell(x(T))\)와 제어 에너지 \(\frac{\alpha}{2}\int_0^T\|u(t)\|^2dt\) 로 구성된다. **3. Mild 흐름의 미분 가능성 (Lemma 1)** 가정 (A)와 (A\(^+\)) 하에, 기준 제어 \(\bar u\)에 대한 흐름 \(\bar\Phi_{s,t}\)는 (i) 연속, (ii) 전미분 가능, (iii) 변분 방정식 (3)을 만족하는 야코비안 연산자 \(J_{s,t}(x)\)를 갖는다. 이는 상태에 대한 작은 변동이 흐름에 어떻게 전달되는지를 정확히 기술한다. **4. 최적 제어 존재성 (Theorem 1)** 제어 연산자 \(G\)가 유한 채널 구조 (4)를 만족하고, \(\ell\)가 하반연속이면, \(U\)를 weak\(^*\) 위상에서 컴팩트하게 만들 수 있다. 비용 함수는 이 위상에서 하반연속이므로 직접법에 의해 최소 제어가 존재한다. **5. 비용 전체 증분 공식 (Exact Cost‑Increment Formula)** - 기준 제어 \(\bar u\)와 그에 대응하는 역방향 비용 전파 함수 \(\bar p_t(x)=\ell(\bar\Phi_{t,T}(x))\) 를 정의한다. - Corollary 1에 의해 \(\bar p_t\)는 \(C^1\)이며, 그라디언트는 연쇄법칙을 통해 구한다. - Proposition 1은 \(\bar p_t(x_t)\)가 절대 연속이며, 미분이 \((u(t)-\bar u(t))^T G(t,x_t)^T D\bar p_t(x_t)\) 로 주어짐을 증명한다. - 이를 시간 적분하면 \

원본 논문

고화질 논문을 불러오는 중입니다...

댓글 및 학술 토론

Loading comments...

의견 남기기