프랑스 방송 음성 세대별 성별·연령 균형 코퍼스

spINAch는 1955년부터 2015년까지 60년간 프랑스 라디오·텔레비전 방송을 수집해 20~95세 남·여 화자를 각각 30명씩 7시기에 균형 있게 배치한 320시간 규모의 대규모 다이아크로닉 코퍼스이다. 자동 전사와 강제 정렬을 통해 3백만 개 이상의 모음에 대한 기본 주파수와 포먼트 정보를 제공하고, 세대별 음성 피치 상승 및 /a/‑/A/ 중화 현상을 실증한다.

저자: Simon Devauchelle, David Doukhan, Rémi Uro

프랑스 방송 음성 세대별 성별·연령 균형 코퍼스
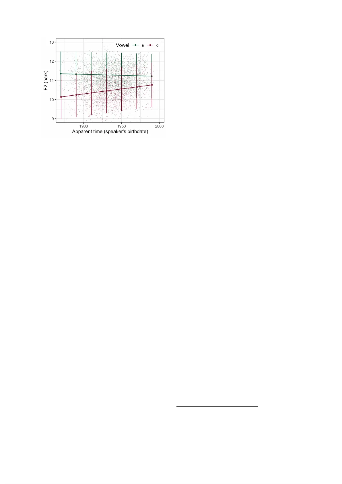
본 논문은 프랑스어 방송 음성을 기반으로 한 대규모 다이아크로닉 코퍼스인 spINAch를 소개한다. spINAch는 1955년부터 2015년까지 60년간의 라디오·텔레비전 아카이브에서 추출한 320시간 이상의 녹음과 2,000명 이상의 화자를 포함한다. 코퍼스 구축 과정은 크게 여섯 단계로 구성된다. 첫째, INA 아카이브 메타데이터를 활용해 7개의 10년 구간(1955‑1956, 1965‑1966, …, 2015‑2016)과 연령대(20‑34, 35‑49, 50‑64, 65+)별, 성별(남·여)별 목표 화자 수 30명을 설정하고, 아카이브 담당자가 직접 화자를 선별하였다. 이 과정에서 여성 화자와 초기 시기의 연령대가 부족한 점을 인정하고, 기존 연구와 일치하는 미디어 내 성별 불균형을 보완하기 위해 가능한 한 균형을 맞추었다. 둘째, 원본 녹음에서 스테레오·모노·돌비 등 다양한 코덱을 ffmpeg으로 디코딩하고, 8 kHz 이하 대역폭, 스피킹 클락 비프, 시간 지연 등 품질에 영향을 미치는 요소를 자동으로 필터링했다. 셋째, 화자 식별 단계에서는 pyannote 기반 다이어리제이션과 ELAN을 이용한 수동 검증을 결합해 목표 화자의 실제 발화 구간을 정확히 추출하였다. 이 과정에서 약 11 %의 구간이 음질 저하, 배경음악, 외국어 발화 등으로 제외되었다. 넷째, 추출된 구간은 INA‑SpeechSegmenter와 LIUM SpkDiarization을 이용해 음성 활동과 전화음·음악을 추가로 제거하고, 최종적으로 Whisper large‑v3를 통해 자동 전사하였다. 전사된 텍스트는 Montreal Forced Aligner(MFA)로 강제 정렬되어 음소 시퀀스와 타임스탬프를 얻었다. 다섯째, 음향 특성 추출에서는 두 개의 피치 추정기(Praat autocorrelation, REAPER)를 병합해 10 ms 간격으로 f0를 측정하고, Praat의 Burg 알고리즘을 사용해 1‑5번째 포먼트를 추정하였다. 포먼트 추정 시에는 화자와 모음 카테고리별로 최적의 ceiling 값을 자동 선택해 평균 분산을 최소화하였다. 마지막으로, 품질 평가에서는 무작위로 추출한 1시간(245명)의 샘플을 인간이 직접 전사하고, Whisper 전사와 MFA 정렬 결과와 비교하였다. 결과는 WER 11.7 %와 PER 7.74 %로, 프랑스어 CommonVoice와 비슷하거나 약간 높은 수준이었다. 특히 모음에 한정하면 PER가 10.26 %까지 상승했으며, 주요 오류는 삭제(64 %)였고, 이는 ‘heu’, ‘euh’와 같은 허언 표현과 연관된다. 분석 결과, 전체 피치 평균은 시간에 따라 상승했지만 남·여 간 차이는 통계적으로 유의하지 않았다. 또한, /a/와 /A/의 구분이 점진적으로 약화되는 중화 현상이 관찰되었으며, 이는 파리 프랑스어의 모음 체계가 세대 간에 점차 표준화되고 있음을 시사한다. 이러한 현상은 방송 매체가 언어 변이에 미치는 영향을 정량적으로 파악할 수 있는 근거를 제공한다. spINAch는 음성 인식·합성 모델의 성별·연령 편향을 평가하고, 사회언어학적 변이 연구, 음성 변이 기반 TTS 스타일링 등에 활용될 수 있다. 데이터는 오픈 액세스로 제공되며, 음성 파일, 자동·수동 전사, f0·포먼트 메타데이터, 익명화된 화자 인구통계 정보를 모두 포함한다. 연구자는 향후 더 정교한 발화 구간 라벨링, 방언 변이 포함, 그리고 비디오 메타데이터와의 연계 등을 통해 코퍼스의 확장 가능성을 제시한다.

원본 논문

고화질 논문을 불러오는 중입니다...

댓글 및 학술 토론

Loading comments...

의견 남기기