동적 파라미터 보정과 다중작업 학습을 활용한 작물 상태 예측 하이브리드 프레임워크

본 논문은 기상 데이터와 품종 정보를 입력으로, 신경망이 생물물리 모델의 파라미터를 일일 단위로 동적으로 보정하도록 설계한 하이브리드 모델을 제안한다. 다중작업 학습을 통해 여러 포도 품종 간 데이터 공유를 가능하게 하여 데이터가 제한된 상황에서도 높은 예측 정확도를 달성한다. 실제 및 합성 데이터셋 실험에서 기존 생물물리 모델 대비 페노올로지 예측 정확도가 60 %, 냉해 내성 예측 정확도가 40 % 향상되었으며, 모델은 생물학적 제약을 유지…

저자: William Solow, Paola Pesantez-Cabrera, Markus Keller

동적 파라미터 보정과 다중작업 학습을 활용한 작물 상태 예측 하이브리드 프레임워크
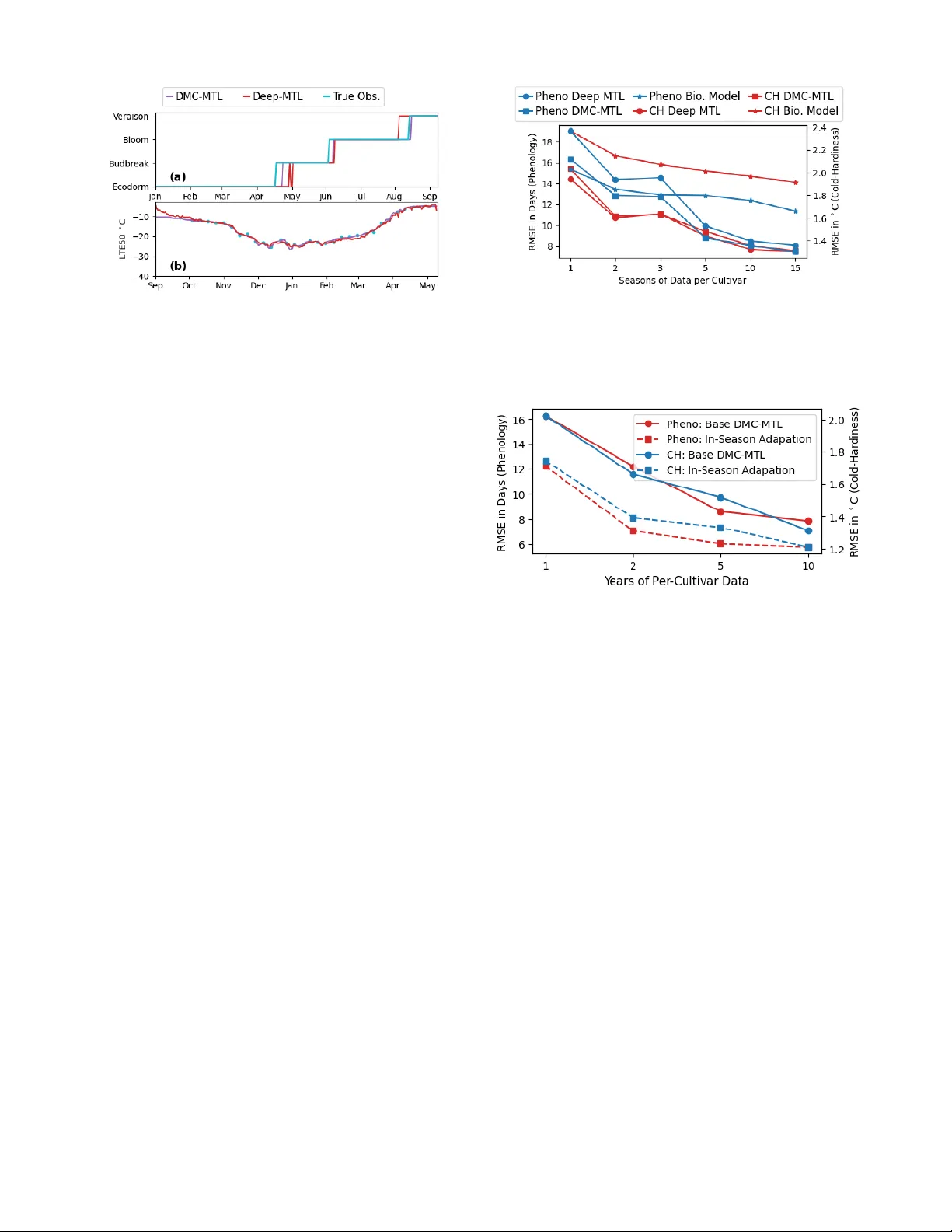
본 논문은 작물 상태 예측, 특히 포도 품종의 페노올로지 단계와 냉해 내성을 정확히 예측하기 위한 새로운 하이브리드 모델링 프레임워크를 제시한다. 기존의 전통적인 생물물리 모델은 물리·생리학적 근거가 튼튼하지만, 기상 변수만을 사용해 복잡한 환경 상호작용을 충분히 반영하지 못한다. 반면 순수 딥러닝 모델은 비선형·시계열 관계를 학습할 수 있으나 대규모 라벨 데이터가 필요하고, 종종 생물학적 제약을 위반하는 비현실적인 예측을 만든다. 이러한 양쪽의 한계를 극복하고자 저자들은 ‘동적 파라미터 보정(Dynamic Model Calibration)’과 ‘다중작업 학습(Multi‑Task Learning, MTL)’을 결합한 DMC‑MTL(Dynamic Model Calibration with Multi‑Task Learning) 접근법을 설계하였다. 핵심 아이디어는 신경망이 매일의 기상 데이터와 품종 ID를 입력받아 생물물리 모델의 핵심 파라미터(예: GDD 모델의 기준 온도, 온도 누적량 등)를 실시간으로 예측하도록 하는 것이다. 이를 위해 저자들은 미분 가능한 형태로 구현된 생물물리 모델을 사용하고, 파라미터를 예측하는 RNN(구조는 두 개의 선형 레이어와 GRU, 마지막 선형 레이어) 앞에 품종 임베딩 레이어를 두어 품종별 특성을 반영한다. 네트워크 출력은

원본 논문

고화질 논문을 불러오는 중입니다...

댓글 및 학술 토론

Loading comments...

의견 남기기