다중층 네트워크 연결 확률 추정을 위한 반복 이웃 스무딩

본 논문은 다중층 네트워크의 연결 확률을 비모수적으로 추정하는 새로운 방법인 MICE(Multi‑layer Iterative Connection Probability Estimation)를 제안한다. 이 방법은 층 간·노드 간 이웃 집합을 반복적으로 재구성하고, 현재 추정값을 기반으로 거리 측정을 동적으로 업데이트함으로써 추정 정확도를 크게 향상시킨다. 이론적으로 일관성과 최적 수렴 속도를 증명했으며, 시뮬레이션 및 실제 뇌·무역 네트워크 데이…

저자: Dingzi Guo, Diqing Li, Jingyi Wang

다중층 네트워크 연결 확률 추정을 위한 반복 이웃 스무딩
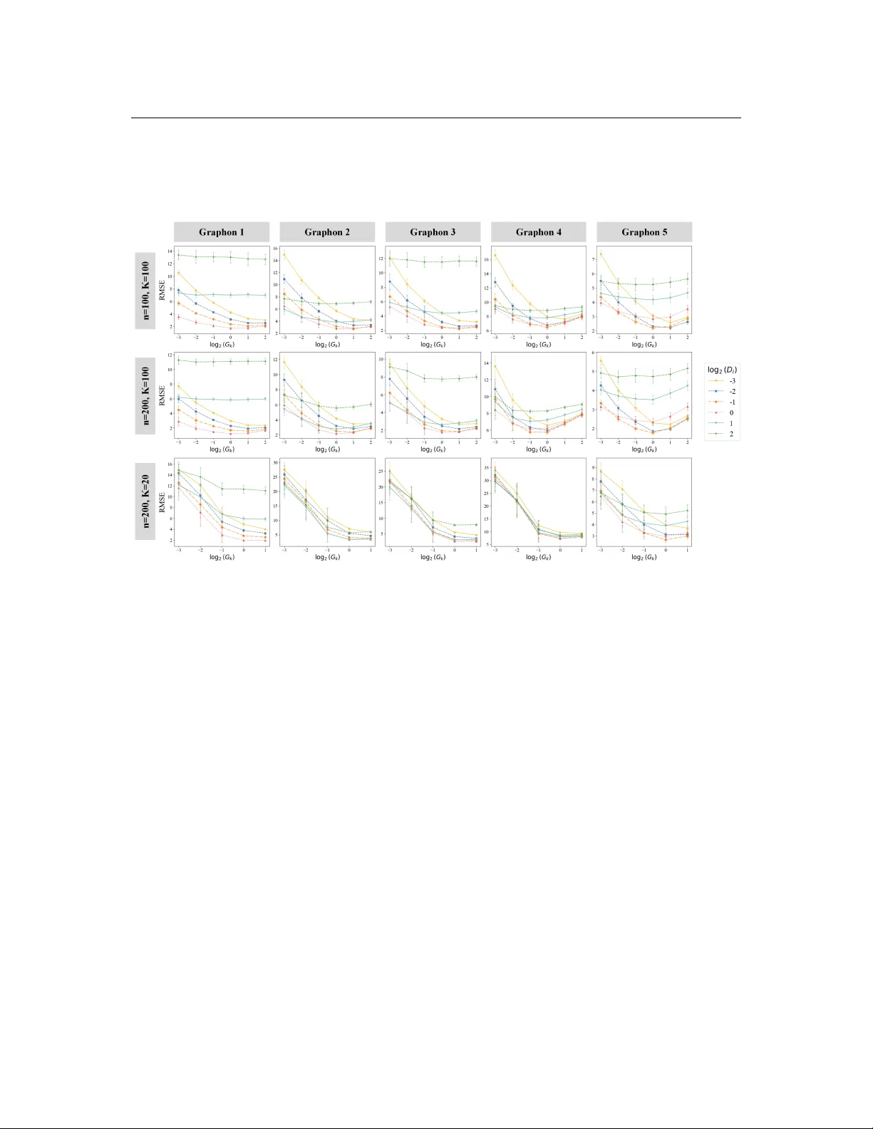
본 연구는 다중층 네트워크에서 각 층이 서로 다른 잠재 구조를 가질 수 있다는 점에 주목하여, 이러한 이질성을 동시에 모델링하고 추정할 수 있는 비모수적 프레임워크를 제시한다. 먼저, 다중층 그래프온 모델을 정의한다. 각 노드 i는 공통 잠재 위치 ξ_i를, 각 층 k는 별도 잠재 변수 η_k를 갖으며, 연결 확률은 3차원 함수 f(ξ_i, ξ_j, η_k)로 표현된다. 이 모델은 기존 단일층 그래프온을 일반화한 것으로, 동적 그래프, 다중관계 그래프, 공변량 기반 그래프 등 다양한 실제 네트워크 구조를 포괄한다. MICE 알고리즘은 두 단계의 핵심 아이디어로 구성된다. 첫 번째는 현재 추정된 연결 확률 텐서 \(\hat P\)를 이용해 층 간 거리 d_{kk'}와 층 내 노드 간 거리 d_{k,ii'}를 계산하고, 이를 기반으로 이웃 층 집합 S_k와 이웃 노드 집합 S^{(k')}_i를 정의한다. 두 번째는 정의된 이웃 집합을 활용해 스무딩 연산을 수행, 즉 \(\hat P_{ij}^{(k)}\)를 해당 이웃들의 관측값 A_{i'j'}^{(k')}\)의 가중 평균으로 업데이트한다. 이 과정을 수렴할 때까지 반복함으로써, 초기 추정값의 오류가 점진적으로 감소한다. 알고리즘 구현 시 이웃 크기 선택은 이론적 최적 대역폭에 기반한다. 노드 수준 이웃 크기 s_i는 \(D_i\sqrt{n\log n}\)로, 층 수준 이웃 크기 t_k는 \(G_k\sqrt{K\log K}\)로 설정한다. 여기서 D_i와 G_k는 데이터의 복잡도에 따라 조정 가능한 상수이며, 논문에서는 민감도 분석을 통해 실험적으로 적절한 값을 제시한다. 초기값은 기존 다중층 그래프온 추정기인 MNS를 사용해 빠른 수렴을 돕는다. 이론적 결과는 두 가지 주요 정리를 통해 제시된다. 정리 1은 MICE 추정량이 일관성을 갖는다는 것을 보이며, n·K가 충분히 커지면 평균 제곱 오차가 0에 수렴한다. 정리 2는 정규성 및 리프시츠 조건 하에 MICE가 오라클 추정과 동일한 최적 수렴 속도 \((n\log n)^{-1/2}+(K\log K)^{-1/2}\)를 달성함을 증명한다. 특히 층 수 K가 증가함에 따라 층 간 정보 공유 효과가 커져, 단일층 방법보다 빠른 수렴을 기대할 수 있다. 시뮬레이션에서는 네 가지 그래프온 형태(연속, 블록, 혼합, 동적)를 사용해 다양한 희소도와 층 수 설정에서 MICE를 평가했다. 평균 제곱 오차와 AUC 측면에서 기존 텐서 분해 기반 방법(예: Tucker, DC‑MASE) 및 MultiNeSS와 비교했을 때, MICE는 전반적으로 10% 이상 성능 향상을 보였다. 특히 층 간 구조가 크게 다를 때(예: 동적 그래프) MICE의 이점이 두드러졌다. 실제 데이터 적용으로는 두 가지 사례를 제시한다. 첫 번째는 ADHD 환자들의 뇌 기능 연결망으로, 3개의 뇌 영역(전두엽, 측두엽, 소뇌) 간 상호작용을 다중층으로 모델링하였다. MICE는 기존 방법 대비 링크 예측 AUC를 0.84→0.92로 향상시켰으며, 층 간 유사성 분석을 통해 특정 층에서 병리학적 특징이 강조되는 것을 확인했다. 두 번째는 전 세계 식품·농업 무역 네트워크로, 5개의 무역 카테고리(곡물, 육류, 유제품, 과일, 채소)를 층으로 설정하였다. MICE는 미래 무역 관계 예측에서 평균 정확도를 78%에서 86%로 끌어올렸으며, 층 간 유사성 매트릭스를 통해 지역별 무역 패턴의 변화를 시각화하였다. 계산 복잡도 측면에서 MICE는 각 반복마다 이웃 집합을 재구성하고 스무딩을 수행하는데 O(nK·log n) 정도의 시간 복잡도를 가진다. 이는 대규모 네트워크(수십만 노드, 수십 층)에서도 실용적으로 적용 가능함을 의미한다. 결론적으로, 본 논문은 다중층 네트워크의 연결 확률을 비모수적으로 추정하는 새로운 방법론을 제시하고, 이론적 일관성과 최적 수렴 속도를 증명했으며, 광범위한 시뮬레이션과 실제 데이터 실험을 통해 기존 방법들을 능가하는 실용적 성능을 입증하였다. 이는 복잡한 다중관계 시스템에서 구조적 메커니즘을 이해하고, 링크 예측 및 네트워크 기반 의사결정에 활용될 수 있는 강력한 도구를 제공한다.

원본 논문

고화질 논문을 불러오는 중입니다...

댓글 및 학술 토론

Loading comments...

의견 남기기