표적 T2 FLAIR 드롭아웃 훈련, 영상 결손에도 강건한 교모세포종 분할 가능케 하다

본 연구는 뇌종양 MRI 분할에서 중요한 T2-FLAIR 영상이 없을 경우 성능이 급격히 떨어지는 문제를 해결했습니다. nnU-Net 모델 훈련 시 T2-FLAIR 채널만을 무작위로 제거(드롭아웃)하는 방식을 도입한 결과, T2-FLAIR이 있을 때는 기존 성능을 유지하면서도, 없을 때는 전체 종양 분할 정확도(Dice)를 81.0%에서 93.4%로 크게 향상시켰습니다. 특히 부종 영역 분할 성능이 극적으로 개선되어 실제 임상 적용 가능성을 높…

저자: Marco Öchsner, Lena Kaiser, Robert Stahl

표적 T2 FLAIR 드롭아웃 훈련, 영상 결손에도 강건한 교모세포종 분할 가능케 하다
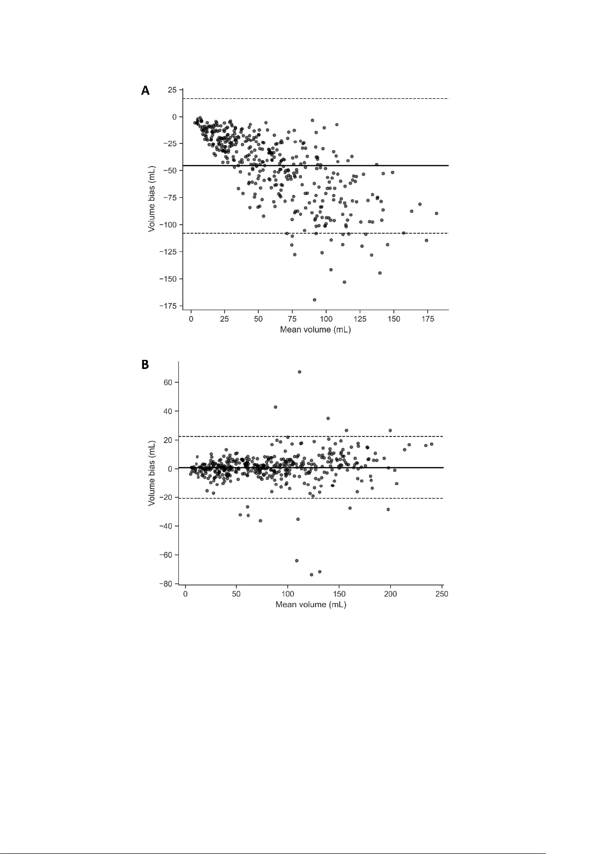
이 연구는 교모세포종 MRI 자동 분할 모델이 임상 현장에서 빈번히 발생하는 T2-FLAIR 영상의 결손에 강건하게 대응할 수 있는 방법을 탐구했습니다. 연구진은 공개 데이터셋인 BraTS 2021(848명)으로 모델을 개발하고, 완전히 독립적인 외부 검증 코호트인 UPenn-GBM(403명)에서 그 성능을 엄격히 평가하는 다중 데이터셋 방식을 채택했습니다. 핵심 방법은 nnU-Net 프레임워크를 기반으로, 훈련 중에만 T2-FLAIR 채널을 확률적으로 제거하는 '표적 T2-FLAIR 드롭아웃'을 적용한 것입니다. 드롭아웃 확률은 0.35와 0.50 두 가지로 시험되었습니다. 평가는 두 가지 시나리오 하에서 진행되었습니다: 1) T2-FLAIR이 존재하는 정상 조건, 2) T2-FLAIR 채널을 0으로 설정하여 결손을 모의한 조건. 주요 결과는 다음과 같습니다. 첫째, T2-FLAIR이 존재할 때는 드롭아웃 훈련 모델(전체 Dice 중앙값 94.8%)과 일반 훈련 모델(95.0%)의 성능이 통계적으로 동등함이 확인되어, 완전한 프로토콜 하에서는 성능 저하가 없음을 입증했습니다. 둘째, T2-FLAIR이 결손된 조건에서는 그 효과가 뚜렷했는데, 일반 모델의 전체 Dice는 81.0%로 떨어진 반면, 드롭아웃(r=0.35) 모델은 93.4%를 유지했습니다. 특히 T2-FLAIR에 크게 의존하는 부종(Edema) 영역에서의 성능 차이는 압도적이었습니다: 일반 모델의 부종 Dice는 14.0%에 불과했으나, 드롭아웃 모델은 87.0%를 기록했으며, Hausdorff 거리 또한 22.44mm에서 2.45mm로 크게 개선되었습니다. 이는 분할 경계 정확도가 획기적으로 향상되었음을 의미합니다. 셋째, 체적 분석에서 일반 모델은 전체 종양 체적을 평균 -45.6mL 과소 평가하는 시스템적 편향을 보였지만, 드롭아웃 모델은 이 편향을 0.83mL로 제거했습니다. 추가로, 기존 우수 도구인 HD-GLIO와의 비교에서도 드롭아웃 모델이 비열등함을 입증했습니다. 결론적으로, 이 연구는 표적 드롭아웃이라는 비교적 간단한 훈련 전략이 모델 아키텍처 변경 없이도 특정 영상 채널 결손에 대한 강건성을 극적으로 향상시킬 수 있음을 보였습니다. 이는 다양한 프로토콜과 품질의 영상이 혼재하는 실제 임상 환경에서 자동 분할 도구의 적용 가능성과 신뢰성을 높이는 실질적인 진전을 이루었다고 평가할 수 있습니다.

원본 논문

고화질 논문을 불러오는 중입니다...

댓글 및 학술 토론

Loading comments...

의견 남기기