클러스터 탈출 탐지로 지역 밀도 정규화 안정화

본 논문은 임베딩 기반 이상음 탐지에서 지역 밀도 기반 점수 정규화(LDN)의 핵심 하이퍼파라미터인 이웃 크기 K가 클러스터 경계를 넘어설 때 성능이 급격히 저하되는 문제를 발견한다. 이를 해결하기 위해 거리 비율을 이용해 “클러스터 탈출”을 자동으로 감지하고, 샘플별로 최적의 이웃 크기를 선택하는 경량 알고리즘인 Cluster Exit Detection(CED)를 제안한다. 다양한 임베딩 모델과 DCASE 2020‑2025 데이터셋에 대한 실…

저자: Kevin Wilkinghoff, Gordon Wichern, Jonathan Le Roux

클러스터 탈출 탐지로 지역 밀도 정규화 안정화
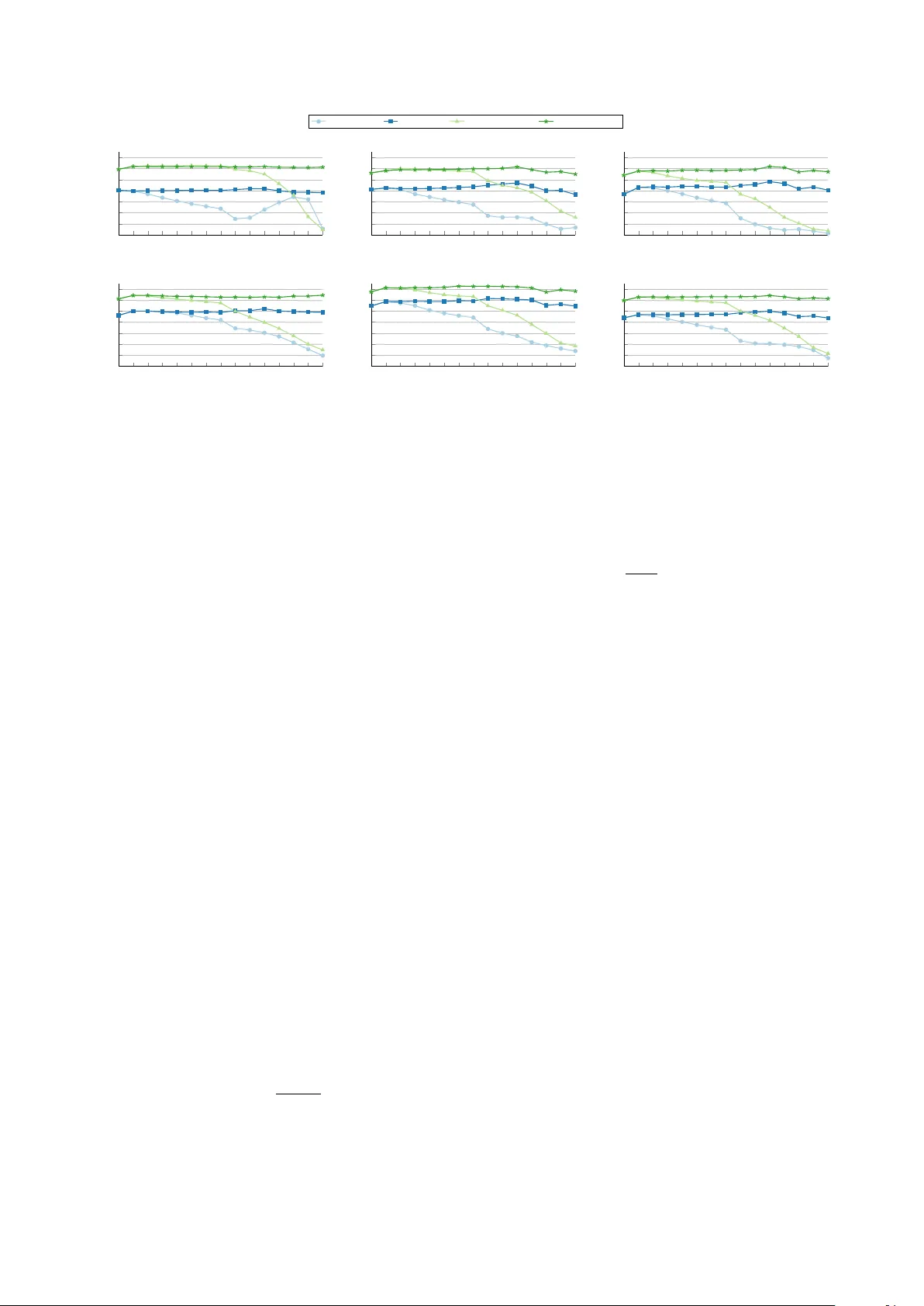
본 논문은 반지도 학습 기반 이상음 탐지(ASD) 시스템에서 널리 사용되는 임베딩 공간의 거리 기반 점수 정규화 기법인 Local Density‑based Normalization(LDN)의 핵심 문제점을 짚고, 이를 해결하기 위한 새로운 메커니즘인 Cluster Exit Detection(CED)을 제안한다. 1. **배경 및 문제 정의** ASD는 정상 작동 음향만을 학습 데이터로 사용해, 테스트 시 이상 음향을 탐지한다. 최근 DCASE 챌린지에서는 소스 도메인과 타깃 도메인 간의 분포 차이(도메인 이동)가 큰 상황에서도 일관된 성능을 요구한다. 이를 위해 임베딩 모델(Direct‑ACT, OpenL3, BEATs, EA‑T, Dasheng 등)으로 음향을 고정 차원 벡터로 변환하고, 테스트 샘플과 정상 샘플 간 거리를 기반으로 이상 점수를 산출한다. LDN은 이러한 점수를 정상 샘플의 지역 밀도(최근접 K 이웃 거리 평균)로 정규화해 도메인 이동에 대한 강인성을 부여한다. 2. **LDN의 구조적 한계** LDN은 이웃 크기 K를 하이퍼파라미터로 사용한다. 기존 연구는 K = 1~2가 가장 안정적이라고 보고했으며, K를 늘리면 성능이 급격히 저하된다고 주장한다. 논문은 이를 실험적으로 재현하고, 정량적 분석을 통해 “클러스터 경계 교차”가 원인임을 밝혀낸다. 동일 클러스터 내부에서는 거리 d_k 가 완만히 증가하지만, 클러스터를 벗어나면 d_k 와 d_{k+1} 사이에 큰 점프가 발생한다. 이러한 점프는 거리 비율 r_k = d_k / (d_{k+1}+ε) 가 급격히 작아지는 형태로 나타난다. 3. **Cluster Exit Detection(CED) 설계** CED는 각 정상 샘플 y 에 대해 K개의 최근접 이웃을 구하고, 비율 r_k 과 평균 비율 \tilde{r}_k 을 계산한다. - **클러스터 탈출 탐지**: \tilde{r}_k 중 최소값 k_{min} 을 찾고, 4번째 백분위수 Q_{0.04} 보다 작은 비율이 나타나는 최초 인덱스 k_{ext} 를 정의한다. - **적응형 이웃 크기**: \hat{K}(y) = min(k_{min}, k_{ext}) + 1 로 설정한다. - **희소 영역 보정**: r_1 < 0.85 혹은 r_{min}/r_1 > 1.02인 경우, 이웃 크기를 보수적으로 2로 고정한다. 이 과정은 전적으로 거리 계산에만 의존하며, 별도의 학습이나 라벨이 필요하지 않다. 4. **통합 및 구현** 기존 LDN 공식 A_scaled(x) = log D(x,y) − α log μ(y) 에 μ(y) = (1/ \hat{K}(y)) ∑_{k=1}^{\hat{K}(y)} D(y, y_k) 를 사용한다. α는 VarMin을 적용할 경우 최적화된 값으로 설정한다. 5. **실험 설정** - **데이터셋**: DCASE 2020, 2022, 2023, 2024, 2025 (각각 MIMII‑DG, ToyADMOS 등 다양한 머신 사운드와 도메인 이동을 포함) - **임베딩 모델**: Direct‑ACT(32‑dim), OpenL3(512‑dim), BEATs, EA‑T, Dasheng. - **평가 지표**: pAUC(α=0.1)와 AUC를 도메인별·전체 평균으로 보고, 고정 K와 비교. 6. **결과 및 분석** - **민감도 감소**: Fig.2에서 보듯 기존 LDN은 K = 2 이후 성능이 감소하지만, CED 적용 시 K에 대한 민감도가 거의 사라진다. - **성능 향상**: Table 1에서 LDN+CED는 평균 pAUC가 0.06%~0.32%p‑AUC 상승을 보이며, 특히 VarMin과 결합했을 때도 안정적인 성능을 유지한다. - **일관성**: 5개 임베딩·5개 데이터셋 전반에 걸쳐 CED가 긍정적인 영향을 미치며, “클러스터 탈출” 감지가 핵심 요인임을 확인한다. 7. **논의 및 한계** - CED는 거리 비율 기반이므로 고차원 임베딩에서도 계산 비용이 크게 증가하지 않는다. 다만, 거리 측정 방식(코사인 vs MSE)이나 정규화 파라미터 α에 따라 민감도가 약간 달라질 수 있다. - 현재는 4번째 백분위수와 고정 임계값(0.85, 1.02)을 사용했지만, 더 정교한 데이터‑적응형 임계값 설계가 향후 연구 과제로 남는다. 8. **결론 및 향후 연구** 본 연구는 LDN의 구조적 약점을 “클러스터 경계 교차”라는 현상으로 규명하고, 거리 비율을 이용한 경량 클러스터 탈출 탐지 알고리즘(CED)을 제안함으로써 이웃 크기 선택을 자동화한다. 실험을 통해 CED가 다양한 임베딩·데이터셋에서 LDN의 민감도를 크게 낮추고 전반적인 이상음 탐지 성능을 향상시킴을 입증했다. 향후에는 비선형 클러스터 구조나 비정형 데이터에 대한 확장, 그리고 실시간 시스템에의 적용 가능성을 탐색할 예정이다.

원본 논문

고화질 논문을 불러오는 중입니다...

댓글 및 학술 토론

Loading comments...

의견 남기기