인구조정 간접비교를 전이가능성 문제로 재구성 추정량 기반 관점과 보건기술평가 함의

본 논문은 인구조정 간접비교(PAIC)의 효과 추정이 목표 인구에 전이가능한지 여부를 추정량 관점에서 체계적으로 분석한다. 조건부와 주변(마진) 효과의 차이, 비가역성(비가역성)과 효과수정자, 그리고 효과 측정 척도의 정렬이 전이가능성에 미치는 영향을 규명한다. 결과적으로 비가역적 척도(위험비, 오즈비 등)에서는 마진 효과가 인구에 따라 달라지며, 조건부 효과가 선형 예측자 척도에 있을 때 전이가능성이 높다. 또한 기존 PAIC 방법은 비교군 …

저자: Conor Ch, ler, Jack Ishak

인구조정 간접비교를 전이가능성 문제로 재구성 추정량 기반 관점과 보건기술평가 함의
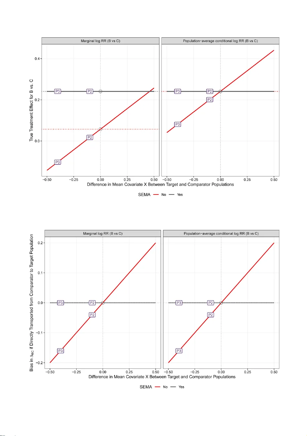
이 논문은 보건기술평가(HTA)에서 흔히 사용되는 인구조정 간접비교(PAIC)의 방법론적 기반을 ‘전이가능성(transportability)’이라는 관점에서 재구성한다. 서론에서는 무작위 대조시험(RCT)의 내부 타당성은 높지만 외부 타당성, 즉 결과를 실제 환자군에 적용하는 데 한계가 있음을 강조한다. 기존의 간접비교는 모든 연구가 동일한 모집단에서 추출되었다는 ‘교환가능성(exchangeability)’ 가정을 전제로 하지만, 실제로는 인구 특성 차이와 효과수정자(effect modifier)의 차이로 인해 이 가정이 깨진다. 이를 보완하기 위해 MAIC, STC와 같은 PAIC 방법이 개발되었으며, 이들은 관측된 효과수정자를 조정해 인구 차이를 최소화한다. 본 논문은 먼저 Rubin Causal Model(RCM)을 도입해 잠재 결과(Y_t)와 치료 지시(T) 개념을 정의하고, 인과 효과를 함수 ψ(·)로 표현한다. 이어서 ‘조건부(population‑average conditional) 효과’와 ‘주변(marginal) 효과’라는 두 종류의 추정량을 명확히 구분한다. 조건부 효과는 공변량 X에 대한 기대값을 먼저 구한 뒤, 각 치료군의 선형 예측자 η_t(X)를 차이내는 형태이며, 효과 측정 함수 h와 링크 함수 g가 동일한 척도(예: 로짓‑오즈비)일 때 간단히 평균 환자 효과로 축약된다. 반면 주변 효과는 변환 함수 h가 기대값 안에 들어가므로 비선형 링크(g)와 결합될 때 공변량 분포에 따라 달라진다. 이는 비가역적 척도(오즈비, 위험비, 해저드비)에서 특히 두드러지며, 동일한 효과수정자를 공유하더라도 인구마다 다른 주변 효과가 도출된다. 전이가능성은 두 단계로 구분된다. 첫째, ‘직접 전이가능성(direct transportability)’은 소스 인구와 목표 인구에서 동일한 효과가 관측될 때 성립한다. 이는 효과수정자가 없거나, 효과수정자 분포가 두 인구에서 동일할 때만 가능하다. 둘째, ‘조건부 전이가능성(conditional transportability)’은 효과수정자 X가 충분히 관측되고, X‑효과 관계가 모든 인구에서 동일하다는 가정 하에, 소스 인구에서 학습한 모델을 목표 인구의 X 분포에 재가중해 적용함으로써 달성된다. 이때 전이된 기대 잠재 결과 μ_t^{P1→P2}=E_{P2}

원본 논문

고화질 논문을 불러오는 중입니다...

댓글 및 학술 토론

Loading comments...

의견 남기기