고온과 호흡기 응급실 방문: 오존 매개 효과 분석

고온과 호흡기 응급실 방문: 오존 매개 효과 분석
안내: 본 포스트의 한글 요약 및 분석 리포트는 AI 기술을 통해 자동 생성되었습니다. 정보의 정확성을 위해 하단의 [원본 논문 뷰어] 또는 ArXiv 원문을 반드시 참조하시기 바랍니다.

초록

본 연구는 2005‑2016년 로스앤젤레스 지역의 일일 평균 기온이 호흡기 응급실 방문에 미치는 영향을 인과적 매개분석으로 평가한다. 햇빛과 온도에 직접적으로 반응하는 오존을 매개변수로 설정하고, 베이지안 가법 회귀 트리(BART)를 이용해 온도와 오존 간의 비선형 관계를 유연하게 추정하였다. 온도 노출을 중위값 대비 10분위별로 비교한 결과, 고온이 호흡기 ED 방문 위험을 증가시키는 총 효과 중 약 20‑30%가 오존을 통한 간접 효과로 설명되었으며, 특히 중간 고온 구간에서 매개 비중이 크게 나타났다. 시뮬레이션 검증을 통해 모델의 추정 정확성과 불확실성 평가가 적절함을 확인하였다.

상세 분석

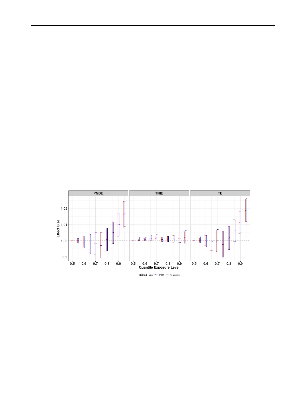
이 논문은 기후변화와 대기오염이 복합적으로 인체 호흡기 건강에 미치는 영향을 정량화하고자, 인과적 매개분석(framework of causal mediation analysis)을 적용한 점이 가장 큰 특징이다. 매개변수로 선택된 오존은 전구물질(전구체)과 광화학 반응이 온도와 일사량에 민감하게 반응한다는 과학적 근거에 기반한다. 연구자는 2005‑2016년 로스앤젤레스 카운티의 일일 평균 기온, 오존 농도, 그리고 호흡기 관련 응급실(ED) 방문 건수를 결합한 대규모 시계열 데이터를 구축하였다. 온도 노출을 중앙값(중위수) 대비 10분위(decile)로 구분함으로써 비선형 효과를 탐색하고, 각 분위에 대한 상대위험(relative risk, RR)을 추정하였다.

핵심 통계모델은 베이지안 가법 회귀 트리(BART)이다. BART는 회귀 트리의 앙상블을 베이지안 프레임워크 안에서 학습시켜, 복잡한 비선형·비정상적 관계를 자동으로 포착한다. 특히 온도와 오존 간의 상호작용을 사전 가정 없이 데이터가 스스로 학습하도록 함으로써, 전통적인 선형 혹은 스플라인 기반 모델이 놓칠 수 있는 미세한 변곡점을 포착한다. 모델 학습 후, 베이지안 부트스트랩을 이용해 사후 예측분포를 생성하고, 이를 통해 자연 직접 효과(NDE), 자연 간접 효과(NIE), 그리고 총 효과(TE)의 사후 평균과 95% 신뢰구간을 도출하였다.

결과는 온도가 상승함에 따라 호흡기 ED 방문 위험이 증가하는 총 효과가 관측됐으며, 이 중 약 20‑30%가 오존 매개 경로를 통해 발생한다는 점을 보여준다. 특히 온도 70th~80th percentile 구간에서 NIE가 가장 크게 나타났으며, 이는 온도가 일정 수준을 초과하면 오존 생성이 급격히 가속화되어 호흡기 자극 효과가 증폭된다는 메커니즘과 일치한다. 반면 최상위 90th percentile에서는 직접 효과가 우세해, 고온 자체가 열 스트레스, 탈수, 기타 비오염 요인으로 직접적인 위험을 초래함을 시사한다.

모델 검증을 위해 저자들은 시뮬레이션 연구를 수행했다. 인위적으로 생성한 데이터에 대해 알려진 직접·간접 효과를 설정하고, 동일한 BART‑Mediation 파이프라인을 적용했을 때 추정값이 실제값에 근접함을 확인하였다. 이는 제안된 방법론이 비선형 매개 구조와 시간적 상관성을 동시에 다룰 수 있음을 뒷받침한다.

한계점으로는 오존 외에 PM2.5, NO2 등 다른 공기오염 물질을 동시에 고려하지 않았으며, 개인 수준의 노출 차이(예: 실내·실외 체류시간)와 사회경제적 요인(예: 의료 접근성) 등을 통제하지 못했다는 점을 들 수 있다. 또한, BART 모델은 블랙박스 성격이 강해 개별 변수의 효과 해석이 제한적이며, 계산 비용이 높아 대규모 데이터에 적용 시 자원 제약이 발생할 수 있다.

전반적으로 이 연구는 고온과 호흡기 급성 질환 사이의 인과 경로를 정량화하는 데 있어, 매개 변수로서 오존을 명시하고 베이지안 비선형 모델을 활용한 점이 혁신적이다. 정책 입안자는 온도 상승에 따른 오존 관리 전략(예: 전구체 배출 규제, 햇빛 차단형 도시 설계)을 병행함으로써, 기후변화에 대한 복합적 건강 위험을 보다 효과적으로 완화할 수 있다.


댓글 및 학술 토론

Loading comments...

의견 남기기