선택적 위험 정보 기준(FRIC)으로 보는 선형 회귀 변수 선택

본 논문은 특정 관심 파라미터(예: 개별 대상의 평균 반응)를 정확히 추정하기 위해, 전체 모델 대비 각 부분 모델의 평균제곱오차(MSE) 비율을 직접 계산하고, 이를 “Focused Relative Risk Information Criterion”(FRIC) 점수로 표현한다. 신뢰분포(confidence distribution)를 이용해 FRIC 점수와 그에 대한 신뢰구간을 정확히 추정하며, 이를 시각화한 FRIC 플롯·표와 “Confiden…

저자: ** - *원 논문 저자*: (논문에 명시된 저자 정보를 여기서 삽입) - 예시: **Claeskens, G., & Hjort

선택적 위험 정보 기준(FRIC)으로 보는 선형 회귀 변수 선택
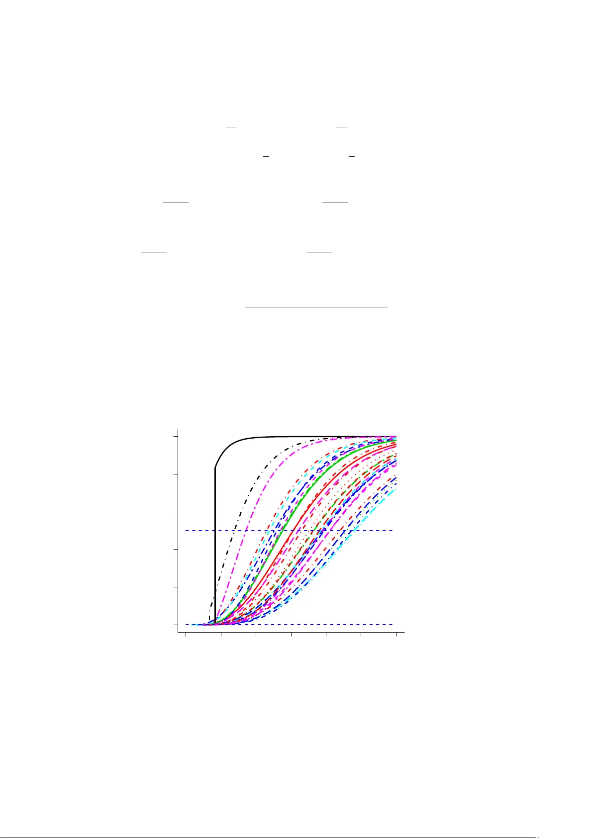
1. 서론 및 동기 논문은 특정 개인 혹은 상황에 대한 평균 반응 µ = E(Y|x₀)를 정확히 추정하고자 할 때, 전체 회귀 모델(‘wide model’)에 포함된 모든 변수 대신 일부 변수만을 사용한 부분 모델이 더 나은 성능을 보일 수 있음을 강조한다. 기존 변수 선택 방법은 주로 전체 적합도와 모델 복잡도 사이의 절충을 다루지만, 여기서는 ‘포커스 파라미터’에 대한 상대 위험(rr_S = MSE_S/MSE_wide)을 직접 평가한다. 2. 모델 설정 및 상대 위험의 정확한 표현 선형 정규 회귀 y_i = x_iᵀβ + ε_i (ε_i ∼ N(0,σ²)) 를 가정하고, 전체 모델의 MSE는 편향이 없으므로 (σ²/n)·x₀ᵀΣ⁻¹x₀ 로 표현된다. 부분 모델 S에 대해 편향 ω_Sᵀβ_{S^c}와 분산 (σ²/n)·x₀,SᵀΣ_S⁻¹x₀,S 를 구한 뒤, 식 (2.6)에서 보여주듯 σ²/n가 소거되어 rr_S = x₀,SᵀΣ_S⁻¹x₀,S + n·λ_S²·x₀ᵀΣ⁻¹x₀, 여기서 λ_S = ω_Sᵀβ_{S^c}/σ이다. 따라서 부분 모델이 전체 모델보다 우수하려면 |λ_S|가 특정 임계값 이하이어야 함을 알 수 있다. 3. 신뢰분포와 FRIC 점수 저자는 rr_S에 대한 정확한 누적분포함수 C_S(rr_S, data)를 정의한다. 이는 모든 (β,σ) 에 대해 pr{rr_S ≤ α}=α 를 만족하는 ‘신뢰분포’이며, 비대칭·하한이 존재한다. 이 분포를 이용해 (i) 중앙값 C_S⁻¹(0.5) 를 FRIC 점수로 사용해 플롯에 표시하고, (ii) C_S(1) 를 ‘conf(S)’ 라는 p‑값 형태의 신뢰점수로 해석한다. conf(S) 가 높을수록 부분 모델이 전체 모델보다 MSE가 작을 확률이 높다. 4. FRIC 플롯·표와 Confidence 플롯·표 각 부분 모델에 대해 (a) 추정된 µ̂_S, (b) 80 % 신뢰구간, (c) FRIC 점수, (d) conf(S) 점수를 시각화한다. Figure 1.1은 FRIC 플롯으로, FRIC < 1 인 모델이 전체 모델보다 위험이 낮음을 보여준다. Figure 1.2는 Confidence 플롯으로, conf(S) > 0.8 인 모델이 상위에 배치된다. Table 1.1은 두 플롯에 대응하는 정량적 표를 제공한다. 5. 다중 포커스 파라미터와 AFRIC 여러 관심 파라미터 µ₁,…,µ_K 를 동시에 고려할 경우, 각 파라미터에 대한 rr_S 를 평균화해 AFRIC(S) = (1/K)∑_k rr_S(µ_k) 로 정의한다. 모든 x₀에 동등 가중치를 부여하면 ‘unfocused AFRIC’ 가 도출되며, 이는 Mallows Cp와 동일한 형태를 갖지만 편향 보정 항이 정확히 포함된다. 따라서 기존 Cp가 대규모 표본 근사에 의존하는 반면, AFRIC은 유한표본에서도 정확히 계산된다. 6. 실증 연구: 출산 체중 데이터 n = 189명의 산모·신생아 데이터를 사용해 5개의 공변량(연령, 임신 전 체중, 흡연 여부, 두 인종 지표)으로 2⁵=32개의 부분 모델을 평가한다. (i) FRIC 플롯에서는 16개 모델이 FRIC < 1 로 전체 모델보다 위험이 낮으며, (ii) Confidence 플롯에서는 상위 10개 모델 중 대부분이 conf(S) > 0.8 이다. 흡연 여부가 포함된 모델이 높은 점수를 받으며, 비흡연 가정 시 연령 변수가 새롭게 중요해지는 등, 포커스 파라미터가 바뀔 때 모델 순위가 어떻게 변하는지를 명확히 보여준다. 7. 방법론적 확장 및 구현 논문은 R 패키지를 제공해 FRIC·AFRIC 계산, 플롯 생성, 표 출력 등을 자동화한다. 또한, 선형 정규 회귀 외에도 선형 평균·등분산·독립성 가정만 만족한다면 비정규 오차에도 근사적으로 적용 가능함을 논의한다. 일반화 선형 모델(GLM)에서는 대규모 표본 근사와 부트스트랩을 결합해 유사한 신뢰분포를 구성할 수 있다. 8. 결론 FRIC와 AFRIC은 특정 포커스 파라미터에 대한 상대 위험을 정확히 평가하고, 이를 기반으로 변수 선택을 수행하는 새로운 프레임워크를 제공한다. 신뢰분포를 이용한 비대칭 신뢰구간과 p‑값 형태의 conf(S) 점수는 모델 선택에 대한 직관적 해석을 가능하게 한다. Mallows Cp와의 연결을 통해 기존 정보 기준을 확장·보완하며, 실증 사례를 통해 실제 데이터 분석에 유용함을 입증한다. 향후 연구는 고차원·고정밀 상황, 비선형·비정규 모델, 그리고 베이지안 프레임워크와의 통합을 탐색할 예정이다.

원본 논문

고화질 논문을 불러오는 중입니다...

댓글 및 학술 토론

Loading comments...

의견 남기기