다양성 생성 레트로엘리먼트의 진화적 이점

다양성 생성 레트로엘리먼트의 진화적 이점
안내: 본 포스트의 한글 요약 및 분석 리포트는 AI 기술을 통해 자동 생성되었습니다. 정보의 정확성을 위해 하단의 [원본 논문 뷰어] 또는 ArXiv 원문을 반드시 참조하시기 바랍니다.

초록

다양성 생성 레트로엘리먼트(DGR)는 템플릿 영역(TR)을 무작위 역전사하여 가변 영역(VR)을 빠르게 변이시킨다. 저자들은 빠른 VR 변이와 느린 TR 진화를 구분하는 두 시계열 모델을 제시하고, 환경이 주기적으로 변할 때 DGR이 일반적인 돌연변이보다 높은 적합도를 제공함을 분석한다. 인간 장내 Bacteroides 에서 관찰된 DGR 활성 패턴을 모델에 맞추어 설명하고, 지속적 DGR 활성화가 언제 선택적으로 유리한지 조건을 제시한다.

상세 분석

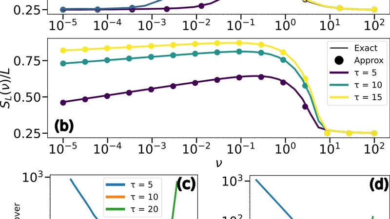
본 논문은 DGR이 담당하는 유전적 다양성 생성 메커니즘을 수학적 프레임워크로 정량화한다. 저자들은 ‘빠른 시계열’과 ‘느린 시계열’이라는 두 단계로 시스템을 분리한다. 빠른 시계열에서는 VR이 템플릿(TR)으로부터 무작위 역전사 과정을 거쳐 매 세대마다 새로운 아미노산 서열을 생성한다. 이 과정은 높은 변이율을 가지지만, 변이가 제한된 구역(보통 리간드 결합 도메인)에만 집중된다. 느린 시계열에서는 TR 자체가 진화적 압력에 의해 서서히 변형되며, 이는 장기적인 적합도 향상을 위한 ‘설계’ 역할을 한다.

환경 변동을 ‘스위칭 환경’으로 모델링하여, 일정 주기로 최적 적합도가 변하는 상황을 가정한다. 이때 DGR이 제공하는 빠른 VR 변이는 환경이 바뀔 때마다 새로운 최적형을 탐색할 확률을 크게 높인다. 저자들은 이를 표준 무작위 돌연변이 모델과 비교하여, 변이율 μ와 환경 전환 주기 τ의 함수로 적합도 향상 ΔW를 도출한다. 핵심 결과는 τ가 변이 발생 평균 시간보다 짧을 때, 즉 환경이 빠르게 바뀔수록 DGR이 제공하는 적합도 이득이 크게 나타난다.

또한 TR의 진화 속도와 변이 편향을 고려한 최적 설계 문제를 풀어, 특정 환경 전환 패턴에 맞는 TR 서열이 존재함을 보인다. 예를 들어, 장내 Bacteroides 는 식이 변화에 따라 주기적인 영양소 가용성이 변하는데, 이때 관찰된 DGR 활성도와 TR 서열은 논문의 최적 설계와 일치한다.

마지막으로 DGR의 ‘상시 활성화(constitutive activation)’와 ‘조건부 활성화(inducible activation)’를 비교한다. 상시 활성화는 변이 비용(불필요한 비유익 변이)과 이득 사이의 균형을 통해, 환경 전환 주기가 매우 짧거나 변이 비용이 낮을 때 진화적으로 선호된다. 반면, 조건부 활성화는 변이 비용이 클 때, 혹은 환경 전환이 드물 때 유리하다. 이러한 분석은 DGR이 단순히 ‘유전적 잡음’이 아니라, 환경 적응을 위한 정교한 전략임을 뒷받침한다.


댓글 및 학술 토론

Loading comments...

의견 남기기