전처리 효과가 반영된 RSS AoA 신경망 위치추정

본 논문은 다중층 퍼셉트론(MLP)을 이용해 RSS와 AoA 측정값을 직접 3차원 위치로 매핑하는 방법을 제안한다. 원시 측정값과 선형화 전처리 후 특징을 각각 입력으로 사용한 두 모델을 비교 평가했으며, 전처리된 특징이 학습 효율과 추정 정확도 모두에서 우수함을 확인하였다. 시뮬레이션 결과, 제안된 신경망은 기존 선형 추정기보다 RSS 노이즈에 강인하며, AoA 노이즈가 증가할 때도 최신 방법과 동등하거나 더 나은 성능을 보였다.

저자: ** *논문에 명시된 저자 정보가 제공되지 않아 확인할 수 없습니다.* **

전처리 효과가 반영된 RSS AoA 신경망 위치추정
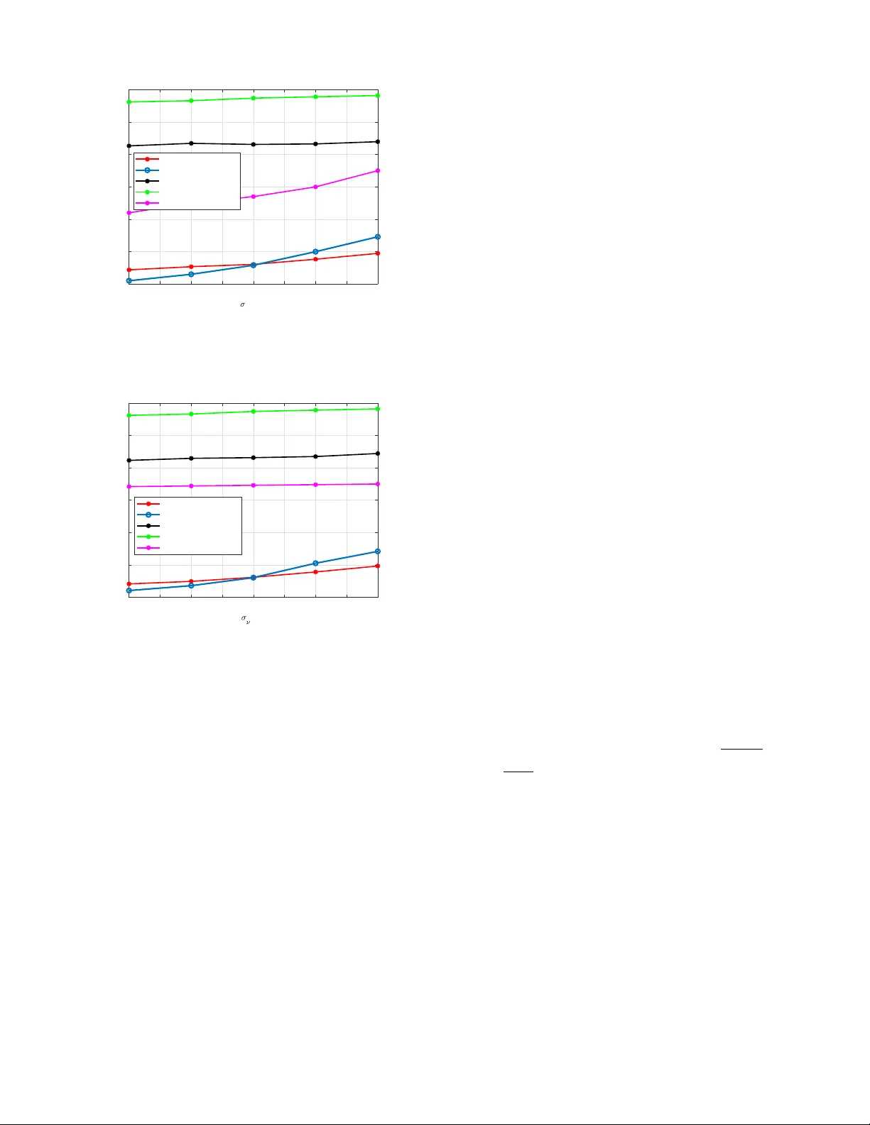
본 논문은 저비용 거리 측정이 가능한 RSS와 고해상도 각도 측정이 가능한 AoA를 결합한 하이브리드 위치추정 기법의 정확도 향상을 목표로 한다. 기존의 선형 기반 추정기들은 측정값의 비선형성, 기하학적 의존성, 그리고 노이즈 특성에 대한 가중치 최적화가 부족하여 실제 환경에서 성능 저하가 발생한다는 문제점을 지적한다. 이를 해결하기 위해 저자들은 다층 퍼셉트론(MLP) 기반의 비선형 매핑 모델을 제안한다. 모델은 RSS와 AoA 측정값을 직접 3차원 좌표로 변환하는 구조이며, 두 가지 입력 표현 방식을 비교한다. 첫 번째는 원시 측정값(RSS

원본 논문

고화질 논문을 불러오는 중입니다...

댓글 및 학술 토론

Loading comments...

의견 남기기