컴퓨터 실험을 위한 공간채움 격자 설계

컴퓨터 실험을 위한 공간채움 격자 설계
안내: 본 포스트의 한글 요약 및 분석 리포트는 AI 기술을 통해 자동 생성되었습니다. 정보의 정확성을 위해 하단의 [원본 논문 뷰어] 또는 ArXiv 원문을 반드시 참조하시기 바랍니다.

초록

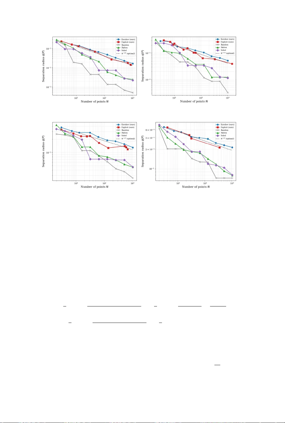
본 논문은 컴퓨터 시뮬레이션에서 활용되는 공간채움 설계의 핵심 지표인 커버링 반경과 분리 반경을 통합한 ‘준균일성(quasi‑uniformity)’ 기준을 제시한다. 특히, 준몬테카를로(QMC) 격자점 집합에 초점을 맞추어 두 가지 생성 알고리즘을 개발한다. 첫 번째는 Kronecker 수열을 근사하는 rank‑1 격자를 명시적 생성 벡터로 구성하고, 이 집합이 $O(N^{-1/d})$의 등방성 불일치를 달성함을 증명한다. 두 번째는 Korobov 격자를 LLL 기반으로 최적화하여 준균일성을 보장한다. 실험을 통해 이론적 결과와 가우시안 프로세스 회귀에서의 실용성을 검증한다.

상세 분석

이 연구는 고차원 입력 공간에서 실험 설계가 얼마나 고르게 퍼져 있는지를 정량화하는 두 가지 전통적 지표—커버링 반경(covering radius)과 분리 반경(separation radius)—을 하나의 통합 척도인 quasi‑uniformity로 결합한다. quasi‑uniformity는 설계점들의 최대 빈틈과 최소 거리 비율을 동시에 최소화함으로써, 샘플이 전체 도메인을 고르게 탐색하도록 보장한다는 점에서 실용적 의미가 크다. 저자들은 특히 QMC 격자점 집합, 즉 rank‑1 lattice와 Korobov lattice에 초점을 맞추어 두 가지 알고리즘을 제시한다. 첫 번째 알고리즘은 Kronecker 수열을 근사하는 방식으로, 생성 벡터 $\mathbf{g}$를 $g_i = \lfloor N^{i/d}\rfloor$와 같은 명시적 규칙으로 정의한다. 이때 얻어지는 점 집합은 $N$개의 점이 $


댓글 및 학술 토론

Loading comments...

의견 남기기