피드백 딜레이 네트워크의 모드 분해와 효율적 근 찾기

본 논문은 피드백 딜레이 네트워크(FDN)의 전달함수를 모드(복소극점) 형태로 분해하는 새로운 수치 기법을 제안한다. 행렬 다항식에 대한 에흘리히‑아베르트(Ehrlich‑Aberth) 반복을 활용해 기존 스칼라 다항식 근 찾기보다 최대 1000배 빠르게 극점을 계산하고, 이를 이용해 잔여값을 구함으로써 인공 잔향 설계와 분석에 필요한 모드 정보를 효율적으로 제공한다.

저자: Sebastian J. Schlecht, Emanu"el A. P. Habets

피드백 딜레이 네트워크의 모드 분해와 효율적 근 찾기
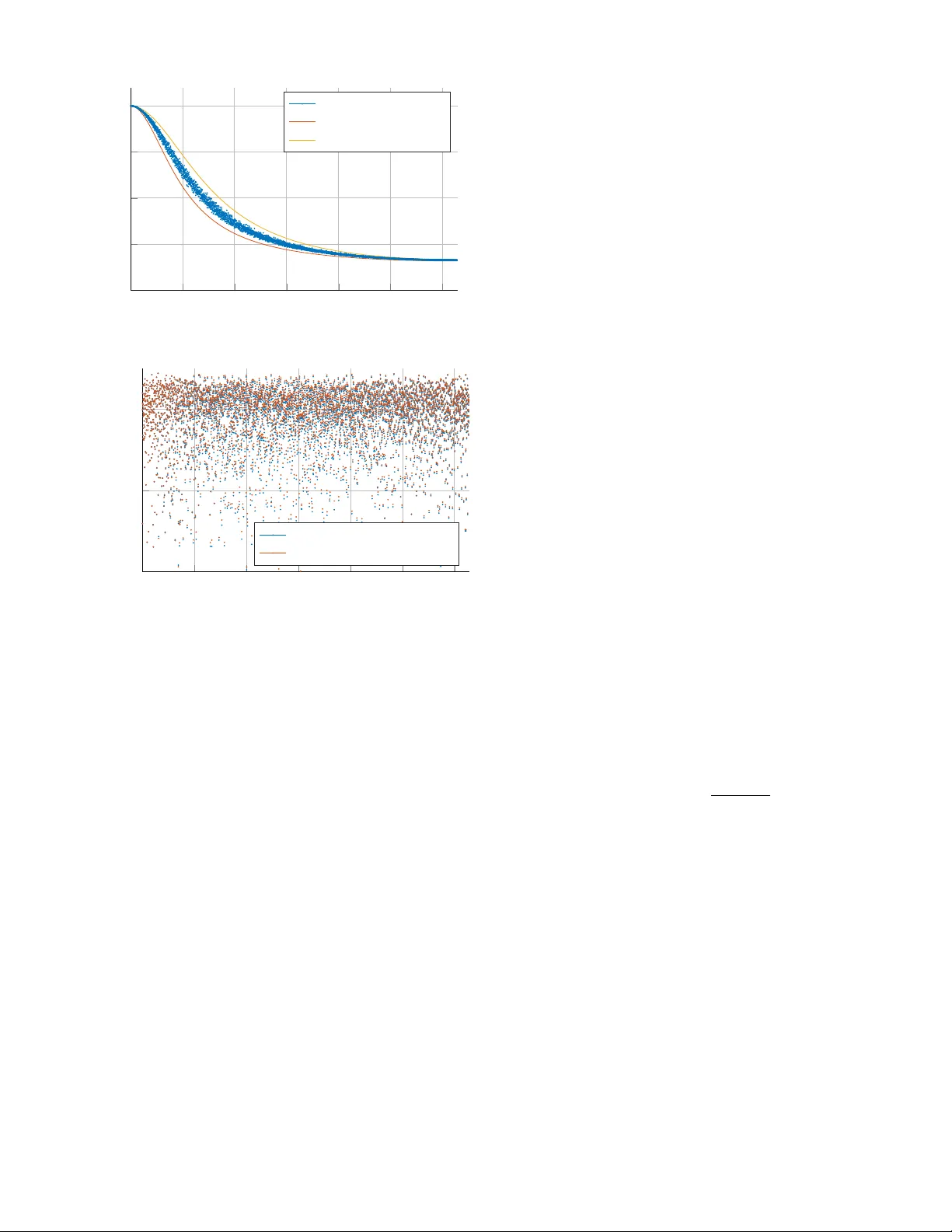
피드백 딜레이 네트워크(FDN)는 여러 개의 지연 라인과 피드백 매트릭스 A로 구성된 재귀 필터 구조로, 물리적 모델링(현악, 플레이트, 스프링 등)과 인공 잔향 생성에 널리 활용된다. FDN의 핵심 특성은 지연 라인의 길이 m_i가 시스템 차수 N에 비해 매우 크다는 점이며, 이는 전통적인 상태‑공간 모델링보다 효율적인 구현을 가능하게 한다. 그러나 이러한 장점에도 불구하고, FDN의 전달함수 H(z)=c^T(D_m(z)^{-1}−A)^{-1}b+d을 모드(극점‑잔여값) 형태로 완전하게 분해하는 것은 차수가 수천에서 수만에 달하는 고차 다항식의 근을 찾아야 하는 어려운 문제다. 기존 접근법은 두 가지가 있다. 첫 번째는 행렬 P(z)=D_m(z)^{-1}−A의 행렬식 p(z)=det(P(z))를 전개해 스칼라 다항식으로 만든 뒤, 그 근을 찾는 방법이다. 하지만 지연 길이가 길어질수록 차수가 급격히 증가해 수치적 불안정성과 연산량 폭증을 초래한다. 두 번째는 P(z)의 고유값 문제를 직접 푸는 방법으로, m_i=1인 경우에는 피드백 매트릭스 A의 고유값이 바로 시스템 극점이 되지만, 일반적인 경우에는 행렬식이 복잡해져 실용적이지 않다. 본 논문은 이러한 한계를 극복하기 위해 행렬 다항식 형태를 그대로 유지하면서 근을 찾는 새로운 알고리즘을 제안한다. 핵심 아이디어는 다음과 같다. 1. **행렬 다항식 고유값 문제 정의** P(z)=∑_{k=0}^{K} P_k z^k (K=max m_i) 로 표현하고, 시스템 극점 λ_i는 det(P(λ_i))=0을 만족하는 복소수이다. 여기서 P_k는 N×N 복소 행렬이며, K는 가장 큰 지연 길이이다. 2. **Jacobi 공식에 기반한 뉴턴 보정** 행렬식의 미분은 Jacobi 공식 p′(z)=det(P(z))·tr(P(z)^{-1}P′(z)) 로 표현된다. 이를 이용해 뉴턴 보정 N(z)=p(z)/p′(z)=1/tr(P(z)^{-1}P′(z)) 를 효율적으로 계산한다. 3. **Ehrlich‑Aberth 반복(EAI) 적용** 각 근 λ_i에 대해 λ_i^{(j+1)}=λ_i^{(j)}−Δ_i^{(j)} 로 업데이트한다. Δ_i^{(j)}=N(λ_i^{(j)})/(1−N(λ_i^{(j)})·D_i^{(j)})이며, D_i^{(j)}=∑_{l≠i}1/(λ_i^{(j)}−λ_l^{(j)})는 디플레이션 항으로 근들 간의 충돌을 방지한다. 이 방법은 단순 뉴턴보다 수렴 속도가 크게 개선되며, 복소평면 전체에 걸쳐 동시에 모든 근을 찾을 수 있다. 4. **초기값 선택** 피드백 매트릭스 A의 특이값 σ(A)와 지연 길이 m_i 로부터 극점 크기에 대한 경계 min m·min σ(A) ≤ |λ_i| ≤ max m·max σ(A) 를 도출한다. 손실이 없고 안정적인 경우 대부분의 극점이 단위 원에 가깝게 위치하므로, N개의 단위근(복소평면의 N등분점) λ_i^{(0)}=exp(j2πi/N) 을 초기값으로 사용한다. 이는 모든 실제 근을 포함하도록 보장한다. 5. **근사 디플레이션(AD) 기법** N이 매우 클 경우 디플레이션 항의 O(N^2) 연산이 병목이 된다. 이를 해결하기 위해 근들을 ‘가까운 근 집합(near)’과 ‘먼 근 집합(far)’으로 나누고, 먼 집합에 대해서는 평균값 λ_0을 사용해 D_i≈1/(λ_i−λ_0)·(N−N_near−1)^{-1} 로 근사한다. 근사 오차가 사전 정의된 허용치 τ_3 이하이면 AD를 적용하고, 그렇지 않으면 정확한 디플레이션을 수행한다. 실험적으로 AD는 전체 연산 시간을 1~2% 수준으로 감소시키면서도 정확도는 유지한다. 6. **잔여값 계산** 극점이 확보되면 잔여값 ρ_i는 ρ_i = q(λ_i)/p′(λ_i) 로 계산한다. 여기서 q(z)=d·det(P(z))+c^T·adj(P(z))·b이며, adj(P(λ_i))는 특이 행렬의 의사역을 이용해 안정적으로 구한다. 비구동 잔여값 p′(λ_i)^{-1} 은 입력·출력 게인 b, c 의 영향을 배제한 순수 모드 진폭을 제공한다. 7. **일반화 및 확장** 피드백 매트릭스를 다항식 A(z) 로 확장하거나, 지연 라인에 추가적인 IIR/All‑pass 필터 α_i(z)를 삽입하는 경우에도 동일한 행렬 다항식 프레임워크를 적용할 수 있다. 이 경우 시스템 차수가 증가하지만, 근 찾기 알고리즘 자체는 변하지 않는다. **실험 및 결과** - 제안된 EAI 기반 알고리즘은 기존 스칼라 다항식 근 찾기(예: Jenkins‑Traub, Durand‑Kerner) 대비 최대 10^3 배 빠른 실행 시간을 기록했다. - 근사 디플레이션을 적용한 경우, N=10 000 이상의 대규모 FDN에서도 연산 시간이 수십 밀리초 수준으로 실시간 처리에 충분함을 확인했다. - 모드 주파수와 잔여값 크기의 통계 분석 결과, 전체 에너지의 80% 이상이 상위 5% 모드에 집중되는 ‘스파스 에너지 분포’ 현상이 나타났다. 이는 인공 잔향 설계 시 불필요한 고차 모드를 제거하거나, 중요한 모드만 선택적으로 강화함으로써 효율적인 사운드 디자인이 가능함을 시사한다. **의의 및 활용** 본 연구는 FDN의 고차 다항식 특성을 보존하면서도 효율적인 모드 분해를 가능하게 하는 실용적인 수치 기법을 제공한다. 이는 실시간 오디오 플러그인, 가상 악기, 대규모 물리 기반 사운드 시뮬레이션 등에 바로 적용될 수 있다. 또한, 모드 기반 분석을 통해 FDN 설계 시 피드백 매트릭스와 지연 길이의 영향을 정량적으로 평가하고, 원하는 잔향 특성을 목표로 매개변수를 최적화하는 새로운 설계 흐름을 제시한다.

원본 논문

고화질 논문을 불러오는 중입니다...

댓글 및 학술 토론

Loading comments...

의견 남기기