시간변화 일반 분산 지연 시스템의 소산 안정화
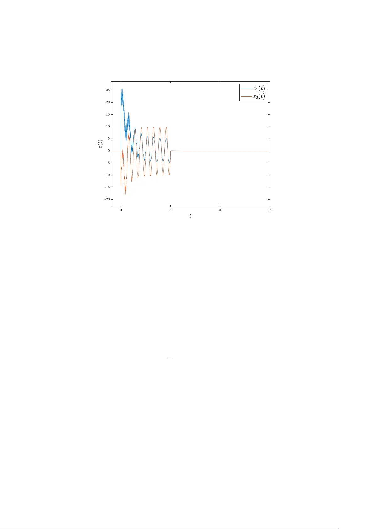
** 본 논문은 유계·측정가능한 시간변화 지연과 L₂ 적분가능한 일반 분산 지연 커널을 갖는 선형 시스템에 대해, 새로운 적분 부등식과 Krasovskii 함수형을 이용해 소산 상태피드백 제어기를 설계하는 방법을 제시한다. 제시된 조건은 LMIs 혹은 BMI 형태로 변환 가능하며, 투사 정리와 내부 볼록 근사 기반 반복 알고리즘을 통해 실용적으로 해결할 수 있다. 수치 예제를 통해 제안 기법의 유효성이 입증된다. **
저자: Qian Feng, Sing Kiong Nguang, Wilfrid Perruquetti
**
본 논문은 선형 시스템에 존재하는 일반적인 시간변화 분산 지연을 대상으로, 소산(stability‑dissipativity) 특성을 만족하는 상태피드백 제어기를 설계하는 새로운 프레임워크를 제시한다. 기존 연구는 주로 연속적이고 유계인 지연 함수 r(t)와 고정된 커널 형태(예: 상수·지수)만을 다루어 왔으며, 이러한 제한은 네트워크 제어 시스템(NCS)이나 샘플링 기반 시스템 등에서 발생하는 불연속·불확실한 지연을 모델링하는 데 한계가 있었다.
### 1. 문제 정의 및 모델링
시스템은 다음과 같이 기술된다.
\
원본 논문
고화질 논문을 불러오는 중입니다...
댓글 및 학술 토론
Loading comments...
의견 남기기