희소 다항존토프를 활용한 비선형 시스템 도달가능성 분석 혁신

본 논문은 기존 다항존토프의 비효율성을 극복하고, 비선형·하이브리드 시스템의 도달가능 집합을 보다 정확하고 빠르게 계산할 수 있는 새로운 집합 표현인 “희소 다항존토프(Sparse Polynomial Zonotope, SPZ)”를 제안한다. SPZ는 종속·독립 팩터를 구분해 생성자를 희소하게 저장함으로써 차원·차수에 대한 다항적 복잡도를 유지한다. Minkowski 합, 2차 매핑, 집합 축소 등 핵심 연산을 다항식 시간 안에 수행하며, 기존 …

저자: Niklas Kochdumper, Matthias Althoff

희소 다항존토프를 활용한 비선형 시스템 도달가능성 분석 혁신
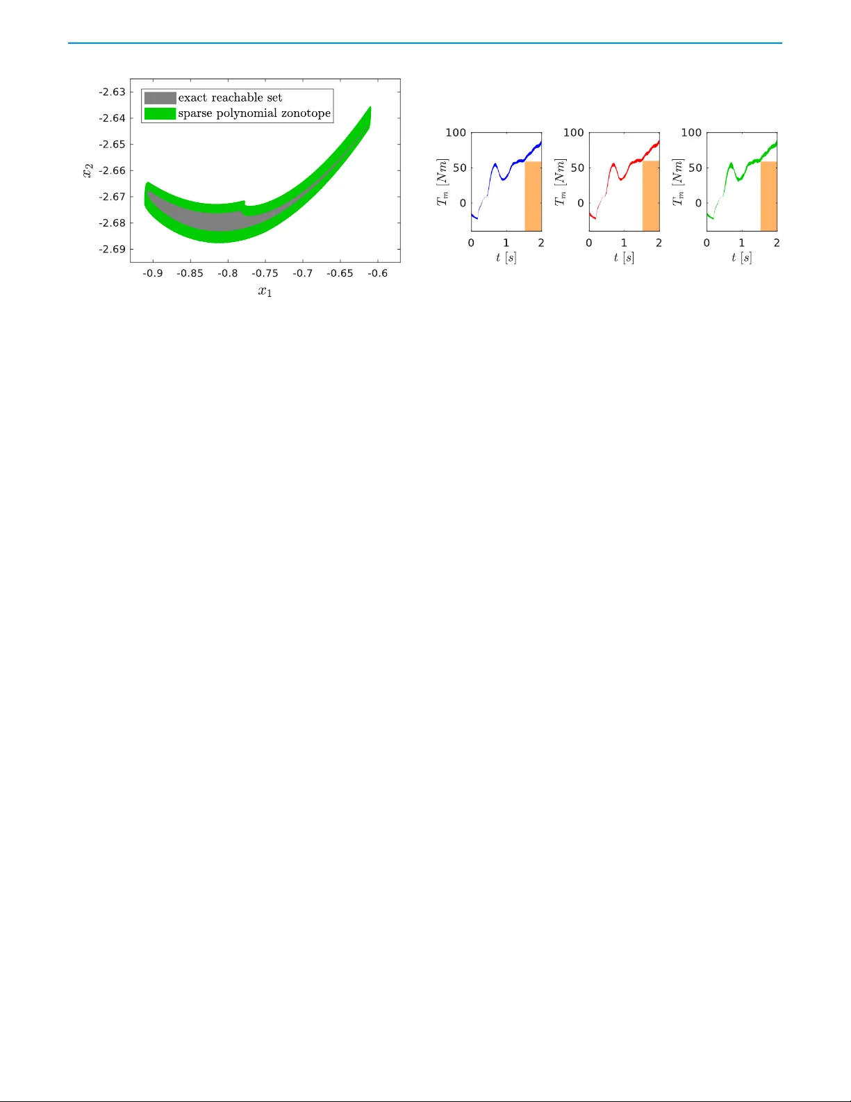
본 논문은 하이브리드 및 비선형 시스템의 형식 검증에서 핵심적인 역할을 하는 집합 기반 연산의 효율성을 크게 향상시키는 새로운 집합 표현인 “희소 다항존토프(Sparse Polynomial Zonotope, 이하 SPZ)”를 제안한다. 기존 연구에서는 Zonotope, Polytope, Taylor Model, Polynomial Zonotope 등 다양한 표현이 사용되어 왔지만, 각각의 한계가 존재한다. Zonotope는 생성자 수가 적어 연산이 빠르지만 비볼록 집합을 정확히 표현하지 못한다. Polytope은 비볼록성을 표현할 수 있으나 Minkowski 합이 지수적 복잡도를 갖는다. Taylor Model은 다항식과 구간 잔차를 결합해 비볼록성을 다루지만 고차 다항식에서 연산 비용이 급증한다. Polynomial Zonotope는 종속 팩터들의 모든 조합을 저장해 비볼록성을 포착하지만, 차수 μ와 종속 팩터 수 p가 커질수록 생성자 수 h≈C(p+μ,μ) 가 폭발적으로 증가한다. 이는 메모리와 연산량을 크게 늘려 실시간 검증에 부적합하게 만든다. SPZ는 이러한 문제를 “희소성”이라는 핵심 아이디어로 해결한다. 정의에 따르면 SPZ는 (1) 상수 항 c, (2) 종속 생성자 G와 종속 팩터 α_k(공통 구간

원본 논문

고화질 논문을 불러오는 중입니다...

댓글 및 학술 토론

Loading comments...

의견 남기기