그래피티 네트워크 인터넷 규모 파일 공유 모델

본 논문은 기존 P2P 시스템이 장기적인 파일 보존과 사용자 익명성을 보장하지 못한다는 문제를 지적하고, 웹 사이트와 같은 제3자 저장소를 활용해 파일을 복제·전송하는 ‘그래피티 네트워크’라는 새로운 파일 공유 패러다임을 제안한다. 트래커가 복제·다운로드 작업을 조율하고, 클라이언트는 지정된 저장소에 암호화된 서브피스를 업로드함으로써, 피어가 모두 떠나도 파일을 지속적으로 접근할 수 있게 한다. 1년간 위키와 메시지보드 등을 이용한 실험을 통해…

저자: Andrew Pavlo, Ning Shi

그래피티 네트워크 인터넷 규모 파일 공유 모델
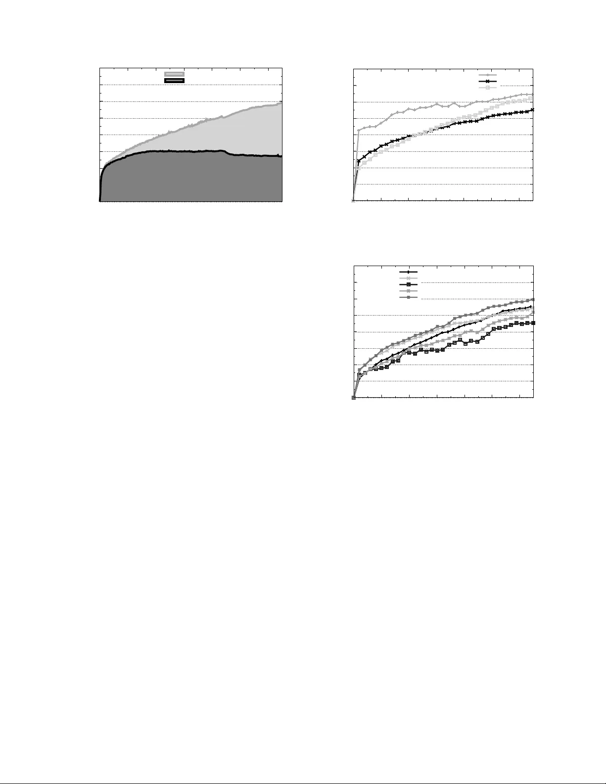
본 논문은 기존 P2P 파일 공유 시스템, 특히 BitTorrent이 직면한 두 가지 근본적인 문제—파일의 단기적 가용성 및 사용자의 익명성 부족—를 지적한다. BitTorrent은 파일을 여러 피어가 직접 교환하도록 설계돼 있어, 파일이 인기를 잃고 시드(peer)가 떠나면 해당 파일 자체가 사라지는 현상이 빈번하다. 또한 트래커와 피어 간의 직접적인 트래픽은 제3자 감시자에게 노출되기 쉬워, 법적 위험에 노출된다. 이러한 한계를 극복하고자 저자들은 ‘그래피티 네트워크(Graffiti Network)’라는 새로운 파일 공유 패러다임을 제안한다. 그래피티 네트워크는 인터넷에 존재하는 무수한 공개 웹 사이트(위키, 포럼, 블로그, 파일 호스팅 서비스 등)를 제3자 저장소로 활용한다. 파일은 고정 길이 피스로 나뉘고, 각 피스는 다시 서브피스로 분할된다. 트래커는 각 서브피스에 대해 (1) 고유 암호키, (2) 체크섬, (3) 앞뒤 바이트 시퀀스라는 메타데이터를 부여하고, 복제본이 저장된 웹 사이트의 URL을 관리한다. 클라이언트는 트래커에 현재 보유한 피스 목록을 전송하고, 트래커는 다운로드와 동시에 새로운 복제본을 업로드할 위치를 지정한다. 클라이언트는 지정된 저장소에서 서브피스를 다운로드한 뒤, 즉시 다른 저장소에 동일 서브피스의 암호화·인코딩된 복제본을 업로드한다. 이 과정은 ‘tit‑for‑tat’ 방식으로 강제되며, 클라이언트는 새로운 서브피스를 받기 위해 반드시 복제 작업을 수행해야 한다. 보안 설계 측면에서, 각 복제본은 서로 다른 암호키로 암호화되어 동일 파일이라도 서로 다른 문자열로 저장된다. 이는 단순 문자열 검색이나 해시 기반 탐지를 어렵게 만든다. 체크섬과 바이트 시퀀스는 복제본의 무결성을 검증하는 데 사용된다. 악의적인 클라이언트가 모든 복제 위치를 수집해 사이트 운영자에게 신고하거나, 허위 복제 정보를 제공해 네트워크를 방해하려는 시도에 대비해 트래커는 요청 속도 제한(throttling)과 프록시 검증을 도입한다. 또한, 트래커는 복제본이 실제로 저장소에 업로드됐는지 확인하기 위해 Coral Cache나 Tor와 같은 외부 서비스를 통해 페이지를 조회한다. 실험은 1년 동안 위키 사이트와 공개 메시지보드 등 4개의 웹 기반 저장소에 32개의 서브피스를 업로드·다운로드하며 진행되었다. 결과는 다음과 같다. (1) 평균 가용성 90% 이상 유지, (2) 파일이 일부 삭제되거나 수정되더라도 충분히 분산된 복제본 덕분에 전체 파일 복구 가능, (3) 일부 저장소는 자동 스팸 방지 메커니즘에 의해 업로드가 차단되는 등 성공률에 차이가 있었지만, 전체적으로 모델의 실현 가능성을 입증했다. 관련 연구와 비교했을 때, 기존 P2P 스토리지 시스템(예: DHT 기반, secret‑sharing 기반)은 여전히 피어 간 직접 전송에 의존하거나, 신뢰할 수 있는 백엔드 서버가 필요하다. 그래피티 네트워크는 이러한 제약을 없애고, 완전히 공개된 웹 인프라를 활용한다는 점에서 차별화된다. 다만, 공개 웹 사이트는 정책 변화, 자동 삭제, CAPTCHA 등으로 인해 저장소의 신뢰성이 변동될 수 있다. 운영자 입장에서는 그래피티 네트워크를 방어하기 위한 구체적인 방안을 제시한다. 첫째, 업로드된 콘텐츠에 대한 해시 기반 검증을 도입해 비정상적인 대량 업로드를 탐지한다. 둘째, 비정상적인 트래픽 패턴(예: 동일 IP에서 짧은 시간 내 다수의 POST 요청)을 실시간으로 모니터링한다. 셋째, CAPTCHA, 토큰 기반 인증, 그리고 업로드 제한을 적용해 자동화된 스크립트에 의한 대량 업로드를 차단한다. 넷째, 웹 서버 로그를 분석해 의심스러운 URL 패턴을 식별하고, 필요 시 해당 URL을 차단하거나 관리자에게 알린다. 결론적으로, 그래피티 네트워크는 P2P 파일 공유의 장기 지속성과 사용자 익명성을 강화할 수 있는 실용적인 대안이다. 제3자 저장소를 활용함으로써 피어가 사라져도 파일이 지속적으로 접근 가능하게 만들며, 암호화와 메타데이터 관리로 추적을 어렵게 만든다. 그러나 이러한 모델은 웹 서비스 운영자와 법적 규제 기관이 공동으로 대응하지 않을 경우, 불법 콘텐츠 유포와 같은 악용 위험을 내포한다. 따라서 연구자와 운영자는 상호 협력하여 탐지·차단 메커니즘을 지속적으로 개선해야 할 필요가 있다.

원본 논문

고화질 논문을 불러오는 중입니다...

댓글 및 학술 토론

Loading comments...

의견 남기기