전염병 데이터 분석과 세대 간격 축소

전염병 데이터 분석과 세대 간격 축소
안내: 본 포스트의 한글 요약 및 분석 리포트는 AI 기술을 통해 자동 생성되었습니다. 정보의 정확성을 위해 하단의 [원본 논문 뷰어] 또는 ArXiv 원문을 반드시 참조하시기 바랍니다.

초록

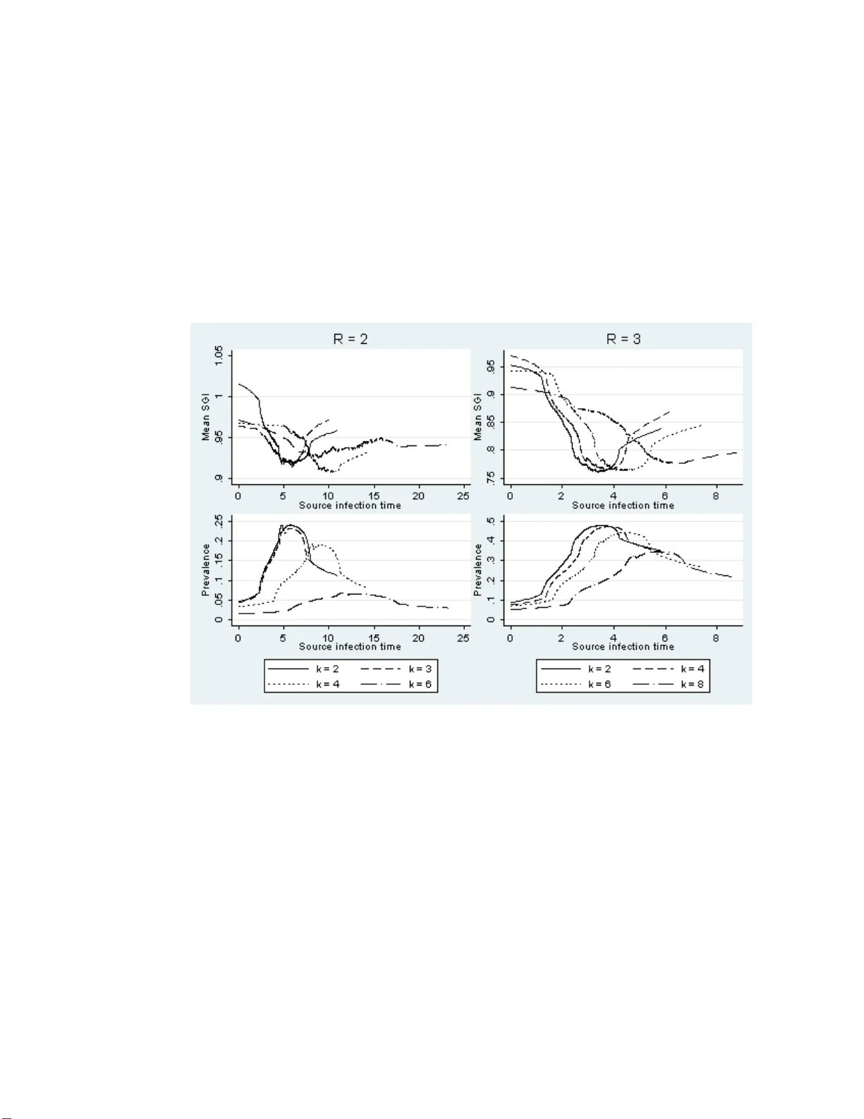
본 논문은 감염자와 피감염자 사이의 시간인 세대 간격이 감염자가 여러 잠재 감염원에 노출될 때 평균이 감소한다는 이론을 제시한다. 전염병이 진행될수록 전반적(글로벌) 및 지역적(로컬) 경쟁이 발생해 세대 간격이 수축하고, 이를 시뮬레이션으로 확인한다. 또한 감염 접촉 위험률을 이용해 효과적 재생산수를 추정하는 방법을 제안하며, 이는 생존 분석의 부분가능도와 유사함을 보여준다.

상세 분석

이 연구는 일반적인 확률적 SIR(감수‑감염‑회복) 모델을 기반으로, 감수자가 동시에 여러 감염원으로부터 전염 접촉 위험에 노출될 경우 발생하는 “경쟁(race) 효과”를 수학적으로 규명한다. 저자들은 먼저 감염 위험률(hazard function)을 정의하고, 각 감염원이 독립적인 포아송 프로세스로 전염 접촉을 시도한다는 가정 하에, 감수자가 최초로 실제 감염되는 순간이 가장 빠른 접촉 시점임을 보인다. 이때 기대 세대 간격(E


댓글 및 학술 토론

Loading comments...

의견 남기기