이질적 팀을 위한 공동자원 게임 기반 협업 인센티브 설계

이 논문은 서비스와 검토 두 단계로 구성된 작업 흐름을 가진 이질적 에이전트 팀을 모델링한다. 각 에이전트는 평균 서비스·검토 시간으로 표현되는 이질성을 갖고, 서비스·검토 입장률을 선택한다. 공동자원풀(CPR) 게임을 정의하고, 검토 보상과 제약 확률을 설계해 자율적인 에이전트들이 협업하도록 유도한다. 저자는 순수 내시균형(PNE)의 존재와 유일성을 증명하고, 베스트‑응답 역학이 해당 균형으로 수렴함을 보인다. 또한 균형의 비효율성을 나타내는…

저자: Piyush Gupta, Shaunak D. Bopardikar, Vaibhav Srivastava

이질적 팀을 위한 공동자원 게임 기반 협업 인센티브 설계
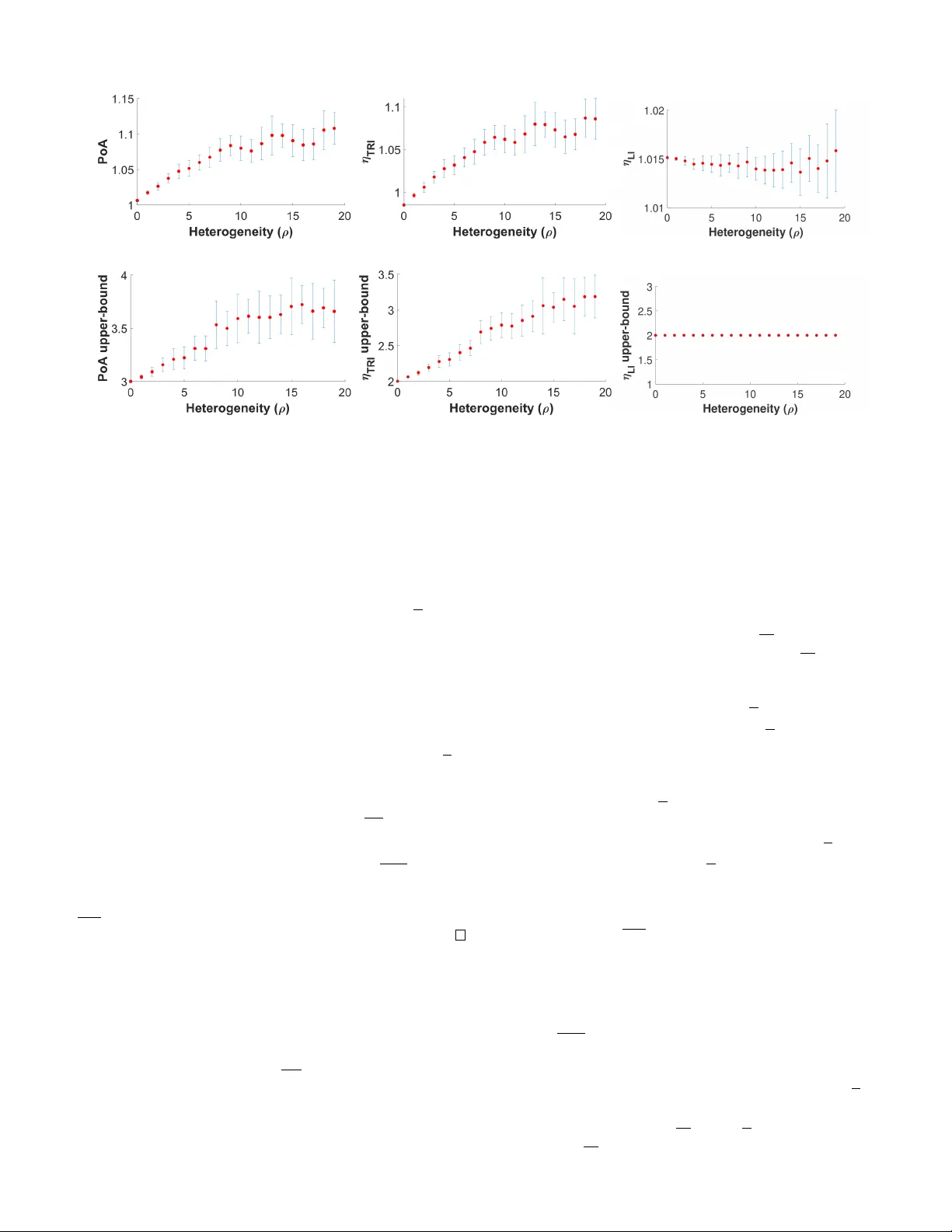
본 논문은 “서비스 → 검토”라는 두 단계 작업 흐름을 갖는 이질적 에이전트 팀을 대상으로, 협업을 촉진하기 위한 인센티브 메커니즘을 공동자원풀(CPR) 게임 형태로 모델링한다. 연구 배경으로는 현대 조직이 유기적 구조를 갖추면서 중앙집중식 명령이 어려워지고, 개별 에이전트가 자신의 성과에만 집중할 경우 팀 전체의 품질이 저하되는 문제를 제시한다. 이를 해결하기 위해 저자는 다음과 같은 일련의 과정을 전개한다. 1. **문제 설정 및 수학적 모델링** - N명의 에이전트가 무한히 공급되는 동질 작업을 처리한다. 각 에이전트 i는 평균 서비스 시간 μ⁻¹_Si와 평균 검토 시간 μ⁻¹_Ri 로 이질성을 표현한다. - 에이전트는 서비스 입장률 λ_Si와 검토 입장률 λ_Ri 를 선택하며, 시간 자원 제약 λ_Si·μ_Si + λ_Ri·μ_Ri ≤ 1 를 만족한다. 등호를 가정해 λ_Si = μ_Si – h_i·λ_Ri (h_i = μ_Si/μ_Ri) 로 변형한다. - 전체 시스템 제약은 Σ_i a_i λ_Ri ≤ Σ_i μ_Si (a_i = 1 + h_i) 로 요약되며, slackness 변수 x = Σ_i μ_Si – Σ_i a_i λ_Ri 로 정의한다. x=0이면 서비스와 검토가 완벽히 매칭된 상태이다. 2. **CPR 게임 정의** - 각 플레이어 i의 전략 공간 S_i =

원본 논문

고화질 논문을 불러오는 중입니다...

댓글 및 학술 토론

Loading comments...

의견 남기기