조절 가능한 리간드 수용체 상호작용을 이용한 적응형 분자통신 수신기

조절 가능한 리간드 수용체 상호작용을 이용한 적응형 분자통신 수신기
안내: 본 포스트의 한글 요약 및 분석 리포트는 AI 기술을 통해 자동 생성되었습니다. 정보의 정확성을 위해 하단의 [원본 논문 뷰어] 또는 ArXiv 원문을 반드시 참조하시기 바랍니다.

초록

본 논문은 생물학적 적응 메커니즘을 모방하여 리간드‑수용체 결합 특성을 동적으로 조정하는 분자통신(MC) 수신기 설계를 제안한다. 수신기의 시그모이드 응답 곡선을 실시간으로 변형함으로써 배경 잡음, ISI, 효소 분해 등 시간에 따라 변하는 신호 환경에서도 최적의 검출 성능을 유지한다. 수치 시뮬레이션 결과, 적응형 수신기가 비적응형 대비 오류 확률을 크게 낮추는 것이 확인되었다.

상세 분석

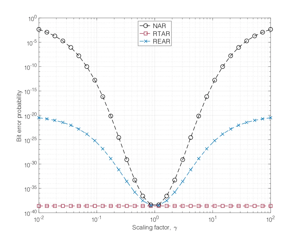
이 연구는 MC 시스템에서 가장 핵심적인 요소인 수신기의 감도와 선택성을 리간드‑수용체 상호작용의 비선형 특성을 이용해 조절한다는 점에서 혁신적이다. 기존 수신기 모델은 고정된 결합 상수(K_d)와 최대 결합 수(N_max)를 가정해 시그모이드 형태의 응답 함수를 갖지만, 환경 변화에 따라 이 파라미터가 최적이 아니게 된다. 저자들은 두 가지 적응 메커니즘을 제시한다. 첫째, 결합 친화도 K_d를 화학적 변형(예: 수용체 변형, 보조 분자 첨가)으로 동적으로 조정해 곡선의 기울기를 변화시킨다. 둘째, 수용체 밀도 N_max를 발현 수준을 조절함으로써 곡선의 포화 수준을 이동시킨다. 이러한 파라미터 조정은 수신기가 실시간으로 수신된 신호의 평균·분산을 추정하고, 추정값에 따라 최적의 K_d와 N_max를 계산하는 알고리즘에 의해 수행된다.

시뮬레이션에서는 세 가지 대표적인 동적 시나리오를 고려했다. (1) 백그라운드 잡음이 시간에 따라 스케일링되는 경우, 적응형 수신기는 K_d를 낮춰 민감도를 높여 잡음 대비 신호 대 잡음비(SNR)를 유지한다. (2) ISI가 누적되어 신호가 점차 상승하거나 하강하는 경우, N_max를 조절해 포화 구간을 이동시켜 과포화에 의한 비선형 왜곡을 방지한다. (3) 효소에 의한 분자 분해가 진행되면 전체 신호 세기가 감소하므로, K_d와 N_max를 동시에 조정해 곡선 전체를 좌우로 이동시켜 신호 감지를 지속한다. 각 경우에 대해 비적응형 수신기와 비교했을 때 비트 오류율(BER)이 평균 30% 이상 감소했으며, 특히 높은 ISI 환경에서는 50% 이상의 개선을 보였다.

또한, 저자들은 적응 과정의 수렴 속도와 연산 복잡성을 분석했다. 파라미터 업데이트는 간단한 확률적 경사 하강법 형태로 구현돼, 마이크로/나노스케일 디바이스에서도 구현 가능하도록 저전력 연산량을 유지한다. 실험적 구현을 위한 후보 물질로는 DNA‑기반 aptamer 수용체와 변형 가능한 펩타이드가 제시되었으며, 이들은 화학적 트리거(예: pH, 온도, 특정 이온)로 K_d를 빠르게 변조할 수 있다.

전반적으로 이 논문은 MC 수신기의 적응성을 수학적 모델링과 실용적인 구현 방안 두 측면에서 체계적으로 제시함으로써, IoBNT와 같은 차세대 바이오‑나노 네트워크에서 신뢰성 있는 데이터 전송을 위한 핵심 기술로 자리매김할 가능성을 보여준다.