비대칭 매핑의 스펙트럼 반경과 고정점 알고리즘 수렴 속도

본 논문은 무선 네트워크 자원 할당 문제에서 자주 사용되는 표준·수축 간섭 매핑의 고정점 반복 알고리즘을 분석한다. 저자는 비대칭 매핑의 스펙트럼 반경을 이용해 매핑이 수축성인지 판단하고, 그 수축 계수를 추정하는 방법을 제시한다. 또한 양의 볼록·오목 매핑에 대해 스펙트럼 반경이 수렴 오차의 하한을 제공함을 보이며, 로드 추정 알고리즘이 트래픽 증가에 따라 느려지는 현상을 정량적으로 증명한다.

저자: Renato L. G. Cavalcante, Slawomir Stanczak

비대칭 매핑의 스펙트럼 반경과 고정점 알고리즘 수렴 속도
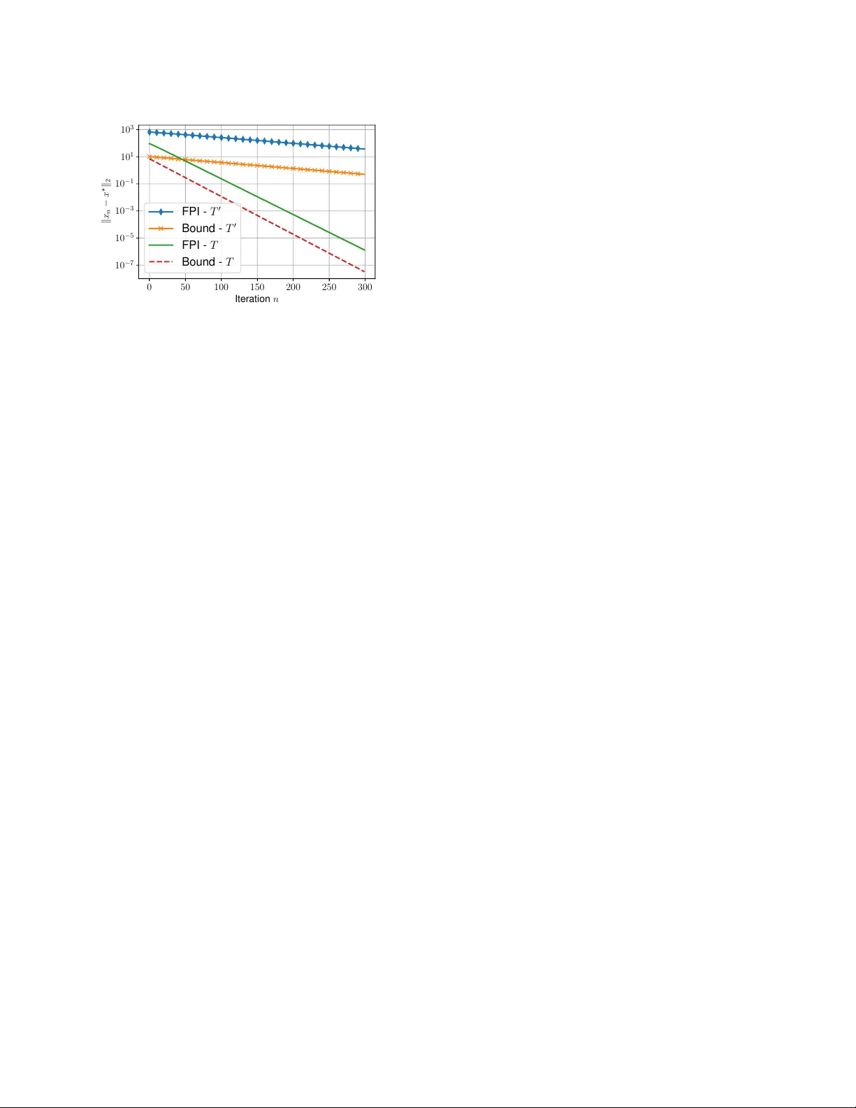
본 논문은 무선 통신 네트워크에서 자주 등장하는 표준 간섭 매핑(standard interference mapping)과 수축 간섭 매핑(c‑contractive interference mapping)의 고정점 알고리즘 수렴 특성을 심도 있게 탐구한다. 고정점 알고리즘은 x_{n+1}=T(x_n) 형태의 반복으로, 초기값 x_1∈ℝ_+^N에서 시작해 고정점 x*∈Fix(T)로 수렴한다. 기존 연구에 따르면, T가 표준 간섭 매핑이면 고정점이 존재하거나 공집합이며, 수축 매핑이면 고정점이 유일하고 수렴 속도가 기하급수적으로 빠르다. 그러나 매핑이 실제로 수축성인지, 그리고 그 수축 계수 c를 어떻게 구할지는 사례별로 복잡한 증명이 필요했다. 논문은 이러한 한계를 극복하기 위해 ‘비대칭 매핑(asymptotic mapping)’이라는 개념을 도입한다. 비대칭 매핑 T^∞는 원래 매핑 T를 스케일링한 극한 형태 T^∞(x)=lim_{t→∞} (1/t) T(t x) 로 정의되며, 연속·단조성을 만족하면 고유값(스펙트럼 반경) ρ(T^∞)와 고유벡터가 존재한다. 저자는 ρ(T^∞)가 매핑의 수축성 판단에 핵심적인 역할을 함을 증명한다. **주요 이론적 결과** 1. **Proposition 2**: T가 연속·볼록이며 비대칭 매핑 T^∞가 존재하고, ρ(T^∞)<1이면 T는 c‑contractive이며, 모든 c∈

원본 논문

고화질 논문을 불러오는 중입니다...

댓글 및 학술 토론

Loading comments...

의견 남기기