최소 길이 기준으로 보는 저제약 재료의 강직성 통합

최소 길이 기준으로 보는 저제약 재료의 강직성 통합
안내: 본 포스트의 한글 요약 및 분석 리포트는 AI 기술을 통해 자동 생성되었습니다. 정보의 정확성을 위해 하단의 [원본 논문 뷰어] 또는 ArXiv 원문을 반드시 참조하시기 바랍니다.

초록

이 논문은 하위 등가점(서브이소스태틱) 2차원 스프링 네트워크와 2·3차원 세포 모델에서, 평균 최소 길이 (\bar\ell_{\min}) 가 기하학적 부합성의 손실을 나타내는 기준이 됨을 보인다. (\bar\ell_{\min}) 이 임계값에 도달하면 자체 응력이 발생하고 강직성이 나타나며, 이를 통해 전단·체적 탄성계수의 불연속성, 포잉 효과, 그리고 전단 응력 대비 전단 강성의 비율이 (3/\gamma_c) 이라는 보편적인 상수를 갖는다는 예측을 제시한다.

상세 분석

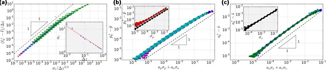
본 연구는 “기하학적 부합성”이라는 개념을 정량화하기 위해 평균 최소 길이 (\bar\ell_{\min}) 을 도입한다. 이 변수는 네트워크 내 모든 스프링(또는 세포 경계)의 실제 길이를 그들의 고유(휴식) 길이와 비교해 평균화한 값으로, 시스템 전체의 기하학적 제약을 한 눈에 보여준다. 저자들은 (\bar\ell_{\min})이 임계값 (\ell^{}_{0}) 에 도달하면 자체 응력이 발생해 자유 변형 모드가 사라지고 강직성이 생긴다고 증명한다. 이 과정은 고전적인 맥스웰‑콜라딘 프레임워크와 달리, 연결성(코디네이션 (z))이나 외부 변형(전단 (\gamma), 등방성 팽창)과 직접적인 함수 관계를 갖는다. 특히, 서브이소스태틱 스프링 네트워크에서는 (\ell^{}_{0}=1.506-0.378,\Delta z) (여기서 (\Delta z=z_c-z))라는 선형 관계가 확인되었으며, 이는 기존 연구에서 제시된 지수적 스케일링과 일치한다. 세포 모델(2D 버텍스, 2D·3D 보로노이)에서도 동일한 형태의 전이점이 관찰되었는데, 면적(또는 부피) 탄성 상수 (k_A, k_V) 가 0인 경우와 양의 값을 갖는 경우 사이에 전이점이 약간씩 이동한다.

이론적 전개는 (\bar\ell_{\min})을 변형 변수(전단 (\gamma)와 플럭투에이션 (\sigma_\ell))와 연결시켜,
\


댓글 및 학술 토론

Loading comments...

의견 남기기