수요에 따른 라우팅 게임의 비효율성 곡선 분석

수요에 따른 라우팅 게임의 비효율성 곡선 분석
안내: 본 포스트의 한글 요약 및 분석 리포트는 AI 기술을 통해 자동 생성되었습니다. 정보의 정확성을 위해 하단의 [원본 논문 뷰어] 또는 ArXiv 원문을 반드시 참조하시기 바랍니다.

초록

본 논문은 비원자적 라우팅 게임에서 트래픽 수요가 변할 때 발생하는 균형 흐름과 사회 최적 흐름의 구조적 변화를 연구한다. 비용 함수가 선형(affine)인 경우 균형 흐름이 구간마다 선형이며, 활성 경로가 바뀌는 지점을 ‘브레이크포인트’라 정의한다. 이러한 브레이크포인트는 유한하지만 네트워크 규모에 대해 지수적으로 많을 수 있다. 각 구간 내에서 가격‑오브‑어너시(Price of Anarchy, PoA)는 매끄럽고 단조 혹은 한 번 감소 후 증가하는 형태를 보이며, 최대값은 반드시 브레이크포인트에서 발생한다. 일반 비용 함수에 대해서는 브레이크포인트가 무한히 존재할 수 있음을 반례로 제시한다.

상세 분석

이 연구는 비원자적 라우팅 게임의 수요‑민감성을 정량화하려는 최초의 시도 중 하나로, 기존 문헌이 주로 최악‑사례 상한에 집중한 것과 달리 중간 수요 구간에서의 미세한 변동을 분석한다. 저자들은 먼저 Beckmann‑형 최적화 문제와 그 쌍대 문제를 이용해, 전체 수요 µ에 대한 사회 비용 최소값 V(µ)이 볼록이며 C¹ 연속임을 증명한다. 특히, V′(µ)=λ(µ)라는 관계를 도출함으로써 균형 비용 λ(µ)가 µ에 대해 연속적이고 비감소함을 확인한다.

비용 함수가 선형(c_e(x)=a_e x + b_e)인 경우, 활성 경로 집합이 변하지 않는 구간에서는 모든 에지에 대한 흐름이 µ에 비례하여 변한다는 ‘스케일링 법칙’을 이용한다. 이로써 균형 흐름 f*(µ)와 사회 최적 흐름 f̂(µ) 모두 구간마다 선형 함수가 되며, 경로 집합이 바뀌는 지점(브레이크포인트)에서만 비선형성이 발생한다. 저자들은 그래프 이론적 논증을 통해 브레이크포인트의 개수가 유한함을 보였지만, 네트워크에 병렬 경로를 다수 배치하면 그 수가 2^{|E|} 수준으로 급증할 수 있음을 제시한다.

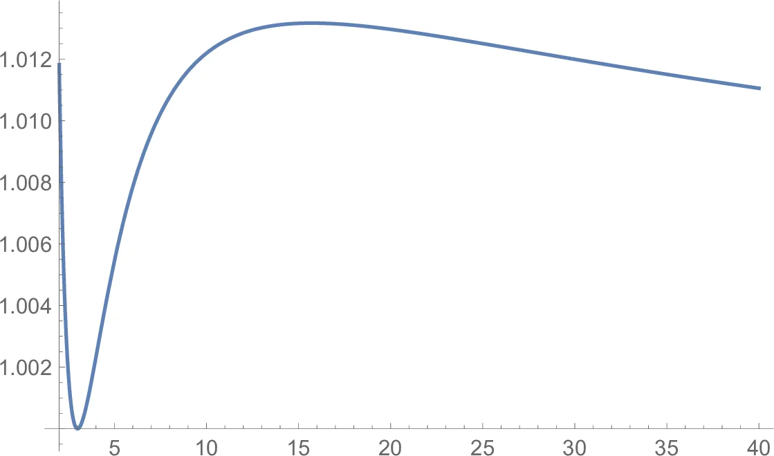
브레이크포인트 사이에서는 PoA(µ)=µ·λ(µ)/eV(µ)가 매끄럽고, 미분 가능함을 보인다. 미분식의 부호 분석을 통해 PoA가 구간 전체에서 단조이거나, 한 내부 최소점에서 감소 후 증가하는 ‘U‑shape’ 형태임을 증명한다. 따라서 전역 최대 PoA는 반드시 브레이크포인트에서 나타난다. 이는 기존에 알려진 4/3 상한이 실제 네트워크에서 언제 달성되는지를 정확히 파악할 수 있는 강력한 도구가 된다.

일반적인 비선형 비용 함수에 대해서는, 활성 경로 집합이 무한히 자주 변할 수 있는 예시를 구성한다. 이 경우 V(µ)와 λ(µ)는 여전히 연속이지만, 미분 가능성이 깨지고 브레이크포인트가 무한히 존재한다는 점에서 선형 비용 경우와 근본적인 차이를 보여준다.

이 논문의 주요 공헌은 다음과 같다. (1) 수요에 대한 균형 비용과 사회 최적 비용의 연속·볼록성 일반화, (2) 선형 비용에서 균형·최적 흐름의 구간별 선형성 및 브레이크포인트 유한성 증명, (3) PoA의 구간별 단조·U‑shape 특성 규명과 최대값이 브레이크포인트에 국한됨을 입증, (4) 일반 비용에서 브레이크포인트 무한성 반례 제공. 이러한 결과는 라우팅 게임의 효율성 분석뿐 아니라, 교통 정책(예: 요금 부과) 설계 시 수요 변화에 대한 민감도 평가에 직접 활용될 수 있다.


댓글 및 학술 토론

Loading comments...

의견 남기기