시간변화 네트워크에서 폭발적 활동을 구현하는 스패닝‑트리 모델

시간변화 네트워크에서 폭발적 활동을 구현하는 스패닝‑트리 모델
안내: 본 포스트의 한글 요약 및 분석 리포트는 AI 기술을 통해 자동 생성되었습니다. 정보의 정확성을 위해 하단의 [원본 논문 뷰어] 또는 ArXiv 원문을 반드시 참조하시기 바랍니다.

초록

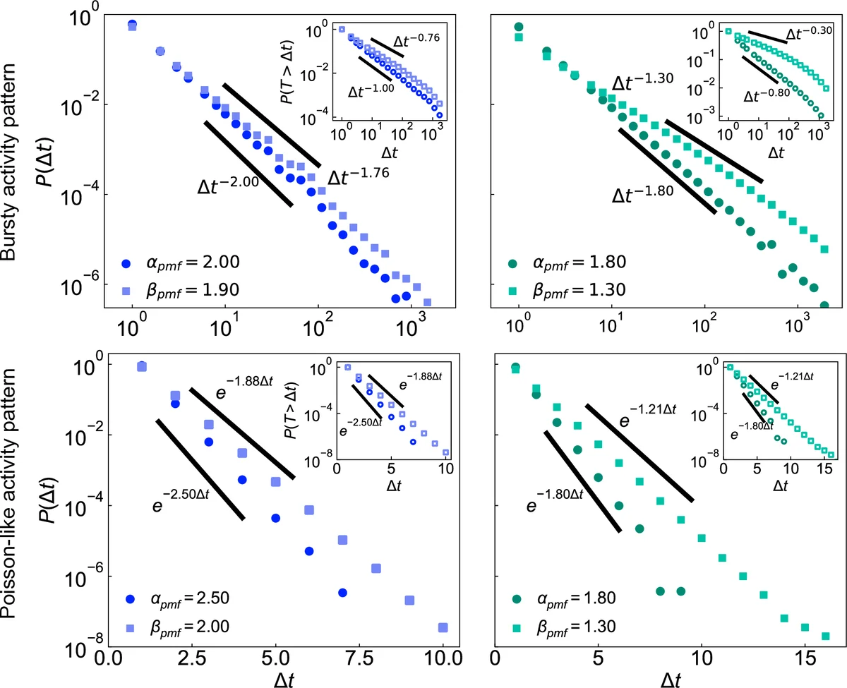
본 논문은 노드와 링크의 목표 인터‑이벤트 시간(IET) 분포를 정확히 재현하도록 설계된 스패닝‑트리 기반 알고리즘을 제시한다. 두 노드 시스템, 트리 구조, 그리고 임의의 정적·동적 토폴로지에 적용 가능하며, 목표 IET 분포가 일관성 조건을 만족하면 폭발적(bursty) 혹은 포아송형 활동을 합성 네트워크에 구현한다. 실험에서는 BA와 WS 네트워크 위에서 파워‑라와 지수 분포를 재현하고, 네 개의 실제 데이터셋에서도 관측된 폭발성을 성공적으로 모사한다.

상세 분석

이 연구는 시간에 따라 변하는 네트워크 활동을 수학적으로 엄밀히 제어할 수 있는 새로운 프레임워크를 제공한다. 핵심은 “스패닝‑트리 방법”으로, 임의의 그래프에서 최소 연결 서브그래프인 스패닝 트리를 선택하고, 트리의 각 노드와 트렁크(트리 내부 링크)에 목표 IET 분포를 할당한다. 두 노드 시스템에서는 각 노드와 링크를 이진 활성/비활성 상태의 갱신 과정으로 모델링하고, 목표 IET 분포를 만족하도록 조건부 확률 p₁~p₄를 계산한다. 이때 pᵢ가


댓글 및 학술 토론

Loading comments...

의견 남기기