PHOTONAI: 파이썬 기반 빠른 머신러닝 모델 개발을 위한 올인원 프레임워크

PHOTONAI는 다양한 머신러닝 툴박스를 하나의 고수준 API로 통합해, 파이프라인 설계·하이퍼파라미터 최적화·교차검증·시각화·모델 공유까지 자동화한다. 사용자는 키워드만으로 전처리·학습 알고리즘을 조합하고, 중첩 교차검증과 최적화 전략을 지정해 편리하게 반복 실험을 수행할 수 있다.

저자: Ramona Leenings, Nils Ralf Winter, Lucas Plagwitz

PHOTONAI: 파이썬 기반 빠른 머신러닝 모델 개발을 위한 올인원 프레임워크
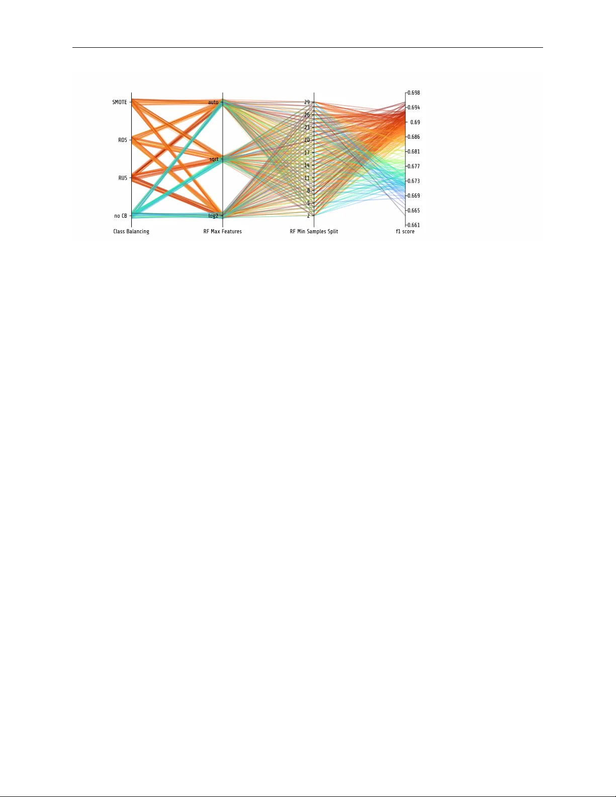
본 논문은 머신러닝 모델 개발 과정에서 발생하는 반복적인 작업과 툴박스 간 호환성 문제를 해결하기 위해 **PHOTONAI**라는 파이썬 기반 고수준 API를 제안한다. PHOTONAI는 scikit‑learn의 파이프라인 개념을 확장하여, 다양한 외부 라이브러리(예: TensorFlow, PyTorch, imbalanced‑learn 등)의 알고리즘을 동일한 인터페이스로 통합한다. 핵심 구성 요소는 **Hyperpipe** 클래스와 **PipelineElement** 객체이며, 이들은 각각 전체 워크플로우 관리와 개별 알고리즘(전처리·학습기)의 래핑 역할을 수행한다. **1. 배경 및 기존 솔루션 한계** - 딥러닝 프레임워크(TensorFlow, PyTorch 등)와 일반 머신러닝 툴킷(scikit‑learn) 사이의 문법 차이와 통합 어려움 - scikit‑learn 파이프라인은 변환기와 최종 추정기만을 순차적으로 연결하며, 학습기 위치 고정·타깃 변환 부재·중첩 CV 자동 적용 미지원 - AutoML 도구(auto‑sklearn, TPOT 등)는 전자동화에 초점을 맞추어 도메인 지식 반영이 어려움 **2. PHOTONAI의 주요 기여** - **접근성**: 사전 등록된 키워드(예: “StandardScaler”, “RandomForest”)를 통해 알고리즘을 즉시 호출 가능. 사용자 정의 클래스도 scikit‑learn API를 따르기만 하면 손쉽게 삽입. - **확장된 파이프라인 기능** - **학습기 임의 배치**: 학습기가 변환기와 동일한 파이프라인 단계에 위치할 수 있어, 앙상블, 서브파이프라인 등 복합 구조 구현 가능. - **타깃 벡터 변환**: 파이프라인 중간에 타깃을 변형(예: SMOTE, 데이터 증강)하여 불균형 문제나 데이터 증강을 자연스럽게 적용. - **다중 데이터 스트림**: 피처 매트릭스 외에 보조 변수(예: 임상 메타데이터)를 동일한 CV 분할에 맞춰 전달, 모달리티 결합 연구에 유리. - **콜백 메커니즘**: 파이프라인 단계마다 사용자 정의 콜백 함수를 삽입해 실시간 데이터 모니터링·디버깅 가능. - **자동화** - **중첩 교차검증**(outer/inner CV)과 하이퍼파라미터 최적화 전략을 Hyperpipe 파라미터로 지정하면 전체 학습·검증·탐색 과정을 자동 수행. - **하이퍼파라미터 탐색 인터페이스**(`ask()`/`tell()`)를 통해 Bayesian 최적화, 랜덤 서치, 그리드 서치 등 다양한 엔진과 연동. 성능 제약 조건을 설정하면 비효율적인 구성을 조기에 중단. - **로깅·시각화**: 실험 메타데이터, 성능 지표, 최적화 진행 상황을 자동 기록하고, 웹 기반 **PHOTONAI Explorer**에서 인터랙티브하게 확인 가능. - **모델 공유 및 재현성** - 최적화된 파이프라인을 표준 포맷(pickle 기반)으로 저장·로드 가능. 비전문가도 Explorer를 통해 모델을 적용·검증할 수 있어 협업과 외부 검증이 용이. **3. 시스템 구조** - **Hyperpipe**: 사용자 정의 파라미터(outer_cv, inner_cv, optimizer, metrics 등)를 받아 파이프라인을 초기화하고, CV 루프를 관리한다. 내부적으로 `Pipeline` 객체를 통해 데이터 흐름을 제어하고, `PipelineElement`가 각각의 알고리즘을 실행한다. - **Pipeline**: scikit‑learn Pipeline을 기반으로 하지만, 학습기와 변환기의 구분을 없애고, `fit`, `predict`, `transform` 메서드를 상황에 맞게 자동 호출한다. - **PipelineElement**: 알고리즘을 래핑하며, 사전 등록된 키워드와 매핑된 클래스 객체를 생성한다. 하이퍼파라미터 공간을 정의하고, 최적화 엔진에 전달한다. - **Utility Classes**: 캐시, 병렬 실행, 데이터 스트림 매니저, 콜백 인터페이스 등 부가 기능을 제공한다. **4. 실험 및 사례 연구** 논문에서는 의료 데이터(정신건강 설문 및 뇌영상)에서 PHOTONAI를 적용해 기존 AutoML 도구와 비교하였다. 몇 줄의 코드만으로 전처리(정규화, 결측치 대체), 특성 선택, SMOTE 기반 클래스 균형, RandomForest와 XGBoost 앙상블을 구성하고, Bayesian 최적화를 통해 25개의 하이퍼파라미터 조합을 탐색하였다. 결과는 정확도·AUC 모두 기존 도구보다 동등하거나 약간 높은 수준을 보였으며, 개발 시간은 수시간에서 수분으로 단축되었다. 또한 Explorer를 통해 각 CV 폴드별 ROC 곡선과 하이퍼파라미터 히스토리를 시각화함으로써 모델 해석성을 높였다. **5. 한계점 및 향후 계획** - 현재 지원되는 최적화 엔진이 제한적이며, 대규모 분산 학습(예: Spark)과의 연동은 미구현. - 파이프라인 내부에서 GPU 가속이 필요한 딥러닝 모델은 별도 래퍼가 필요. - 자동화된 피처 엔지니어링(예: Featuretools)과의 통합이 향후 목표. **6. 결론** PHOTONAI는 머신러닝 파이프라인 설계·최적화·시각화·공유를 하나의 프레임워크로 통합함으로써, 특히 복합 모달리티와 도메인 지식이 중요한 생명과학·의료 분야에서 연구자들이 반복적인 코딩 작업에 소요되는 시간을 크게 절감하고, 모델 개발 과정의 투명성과 재현성을 확보하도록 돕는다.

원본 논문

고화질 논문을 불러오는 중입니다...

댓글 및 학술 토론

Loading comments...

의견 남기기