접착성에 따른 불연속 전이와 사회망 구분

접착성에 따른 불연속 전이와 사회망 구분
안내: 본 포스트의 한글 요약 및 분석 리포트는 AI 기술을 통해 자동 생성되었습니다. 정보의 정확성을 위해 하단의 [원본 논문 뷰어] 또는 ArXiv 원문을 반드시 참조하시기 바랍니다.

초록

본 연구는 링크가 자신의 끝 노드에 “붙어 있으려는” 성향(접착성)으로 제어되는 비성장 네트워크 재구성 과정을 분석한다. 마스터 방정식을 통해 정량적 해를 얻고, 접착성 파라미터 q가 0.5를 지나면 정점의 차수 분포가 뾰족한 형태에서 단조 감소 형태로 급격히 전환되는 불연속 위상 전이를 발견한다. 이 전이선은 실제 사회망 데이터를 적용했을 때, 대면·개인 관계망(뾰족형)과 온라인·추상 관계망(감소형)을 명확히 구분한다는 흥미로운 결과를 제시한다.

상세 분석

이 논문은 네트워크 구조가 시간에 따라 재배열되는 과정을 “접착성(adhesion)”이라는 새로운 제어 변수로 모델링한다. 구체적으로 매 시간 단계마다 무작위로 하나의 링크를 선택하고, 그 양쪽 끝 중 낮은 차수를 가진 정점을 q 확률로, 높은 차수를 가진 정점을 1‑q 확률로 끊는다. 끊어진 끝은 차수 k + 1에 비례하는 선호 연결(Preferential Attachment) 규칙에 따라 새로운 정점에 재연결된다. 이 과정은 네트워크의 총 노드 수 N과 총 링크 수 L은 변하지 않는 비성장(정적) 시스템이지만, 각 정점의 차수는 동적으로 변한다.

저자들은 차수 분포 Pₜ(k) 에 대한 이산 시간 마스터 방정식
Pₜ₊₁(k)=Pₜ(k)−u_k Pₜ(k)+u_{k+1} Pₜ(k+1)−l_k Pₜ(k)+l_{k−1} Pₜ(k−1)
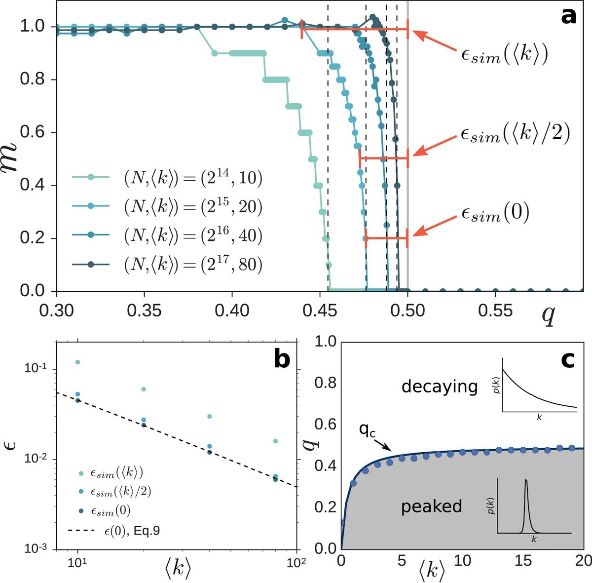
을 도출하고, 여기서 u_k 와 l_k 는 각각 차수를 감소시키는 “언링” 확률과 차수를 증가시키는 “링킹” 확률이다. 링크 선택이 균등하고, 두 끝 정점의 차수가 서로 독립적이라고 가정하면 u_k 와 l_k 를 차수 분포와 접착성 q 에 대한 함수로 명시적으로 계산한다. 특히 l_k 는 (k+1) / ∑_{i}(k_i+1) 형태의 선호 연결 확률이며, u_k 는 q에 따라 낮은 차수 정점이 선택될 확률을 반영한다.

마스터 방정식의 고정점(steady state) 해는 행렬 M 의 영 고유벡터로 구해지며, 이를 통해 정확한 정규화 상수 C 를 포함한 정규화된 차수 분포 \tilde P(k)=C p(k) 를 얻는다. 여기서 p(k)=∏{m=1}^{k} (l{m-1}/u_m) 이다. 이 해는 초기 네트워크 구조와 무관하게 오직 q 와 평균 차수 ⟨k⟩에만 의존한다는 중요한 특성을 가진다.

전이 분석을 위해 저자들은 “모드” m=⟨k⟩−1 · argmax \tilde P(k) 를 정의하고, q가 변함에 따라 m 이 0에서 양의 값으로 급격히 변하는지를 조사한다. 차수 분포의 피크 위치 k_max 가 k와 k+1 사이에서 교차하는 임계값 q_c(k) 를 구하면, 대규모 한계(N→∞, ⟨k⟩→∞)에서 모든 k≤⟨k⟩에 대해 q_c(k)→½ 임을 증명한다. 즉, 접착성 파라미터가 0.5를 초과하면 피크가 사라지고 차수 분포는 단조 감소형이 된다. 이 전이는 Δq≈1/(2⟨k⟩) 정도의 스케일로 수렴하며, 수치 시뮬레이션과 분석식(10), 정확식(11) 모두와 일치한다.

실제 사회망 데이터에 모델을 적용한 결과는 놀라울 정도로 일관된다. 33개의 다양한 사회망(학교, 대학, 전시회, 온라인 커뮤니티 등)을 평균 차수와 네트워크 크기로부터 추정한 q 값을 이용해 이론적 전이선에 매핑했을 때, 대면·개인 관계망은 모두 피크형(모드 m>0) 영역에, 온라인·추상 관계망은 모두 감소형(모드 m=0) 영역에 위치한다. 무작위 라벨 교환 검정(p≈1.4×10⁻⁷)에서도 같은 구분이 우연히 발생할 확률은 극히 낮다. 이는 단순한 접착성‑재배열 메커니즘이 복잡한 사회적 상호작용을 효과적으로 구분할 수 있음을 시사한다.

이 논문의 주요 기여는 다음과 같다. (1) 비성장 네트워크에서도 접착성이라는 로컬 규칙만으로 불연속 위상 전이가 발생한다는 새로운 이론적 증거를 제공한다. (2) 마스터 방정식 기반의 정확한 정규화 해를 도출해 전이점 q_c=½를 엄밀히 증명한다. (3) 이론을 실제 사회망에 적용해 “개인·대면형”과 “추상·온라인형”을 차수 분포 형태만으로 명확히 구분한다는 실증적 발견을 제시한다. 이러한 결과는 네트워크 재구성 과정이 사회적 관계의 질적 차이를 반영할 수 있음을 보여주며, 향후 네트워크 기반 정책 설계나 사회적 행동 예측에 활용될 가능성을 열어준다.


댓글 및 학술 토론

Loading comments...

의견 남기기