임베디드 MPC를 위한 효율적인 경계 변수 비선형 최소제곱 알고리즘

임베디드 MPC를 위한 효율적인 경계 변수 비선형 최소제곱 알고리즘
안내: 본 포스트의 한글 요약 및 분석 리포트는 AI 기술을 통해 자동 생성되었습니다. 정보의 정확성을 위해 하단의 [원본 논문 뷰어] 또는 ArXiv 원문을 반드시 참조하시기 바랍니다.

초록

본 논문은 모델·제어 파라미터가 실시간으로 변하는 상황에서도 메모리 사용량과 연산량을 최소화할 수 있는 새로운 임베디드 모델 예측 제어(MPC) 구현 방식을 제안한다. 최적화 문제를 사전에 구성하지 않고, MPC 파라미터를 추상 연산자로 표현한 뒤, 제한된 변수(active‑set) 기반 비선형 최소제곱 알고리즘을 적용한다. 또한, 희소 QR 분해의 재귀적 업데이트 기법을 도입해 실시간 성능을 크게 향상시킨다.

상세 분석

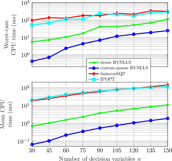
이 연구는 임베디드 시스템에서 MPC를 적용할 때 가장 큰 병목으로 지목되는 “문제 구성 단계”를 근본적으로 제거한다는 점에서 혁신적이다. 전통적인 MPC 구현은 매 제어 주기마다 모델·예측 호라이즌·가중치·제약조건 등을 기반으로 QP 혹은 NLP 형태의 최적화 문제를 새로 생성하고, 이를 외부 솔버에 전달한다. 이러한 과정은 특히 파라미터가 시간에 따라 변하거나 비선형 모델을 선형화해야 할 경우, 문제 행렬을 재구성하는 데 소요되는 연산량이 솔버 자체의 연산량과 맞먹어 실시간 적용을 저해한다.

저자들은 이 문제를 해결하기 위해 두 가지 핵심 아이디어를 제시한다. 첫째, MPC 파라미터를 “추상 연산자”로 정의하여, 행렬·벡터 연산을 직접 구현하지 않고도 필요한 선형·비선형 연산을 수행하도록 설계한다. 이는 파라미터 변화에 따라 행렬을 재구성할 필요 없이 동일한 코드 경로에서 바로 연산을 수행하게 함으로써 메모리 사용량과 캐시 미스율을 최소화한다. 둘째, 제약조건을 평등 제약으로부터 quadratic penalty 형태로 변환하고, 이를 bounded‑variable nonlinear least‑squares(NLLS‑box) 문제로 재구성한다. 이렇게 하면 활성‑집합(active‑set) 기반의 제한 변수 알고리즘만으로도 문제를 해결할 수 있어, 라그랑주 승수나 슬랙 변수 등을 별도로 관리할 필요가 없어진다.

알고리즘적 측면에서는 기존의 프라임(active‑set) 방법에 희소 QR 분해의 재귀적 업데이트를 결합한다. 매 반복마다 선형 시스템을 풀어야 하는데, 이 시스템은 이전 반복과 rank‑one 차이만을 가진다. 저자들은 Gram‑Schmidt 기반의 희소 QR 업데이트를 제안하여, 행렬을 직접 저장하거나 완전한 재분해를 수행하지 않고도 고정된 연산량으로 해를 갱신한다. 이는 특히 작은 규모(수십~수백 변수) 임베디드 환경에서 수치적 안정성을 유지하면서도 연산 속도를 크게 향상시킨다.

이론적으로는 penalty 파라미터 ρ의 충분히 큰 값이 선택될 경우, 단일 penalty iteration만으로도 최적해와 거의 동일한 정확도를 보장한다는 기존 연구(예:


댓글 및 학술 토론

Loading comments...

의견 남기기