네트워크 지표의 행렬함수 기반 안정성 및 거리 기반 변동 한계

네트워크 지표의 행렬함수 기반 안정성 및 거리 기반 변동 한계
안내: 본 포스트의 한글 요약 및 분석 리포트는 AI 기술을 통해 자동 생성되었습니다. 정보의 정확성을 위해 하단의 [원본 논문 뷰어] 또는 ArXiv 원문을 반드시 참조하시기 바랍니다.

초록

본 논문은 그래프의 인접 행렬에 정의된 함수 f(A)의 원소가 에지 변동에 따라 어떻게 변하는지를 분석한다. Faber 다항식과 밴드 행렬 이론을 이용해 변동 크기가 변동된 에지와 거리 d에 대해 |Δf(A)_{kℓ}| ≤ C·e^{-α d} 형태의 지수적 감소 경계를 제시한다. 또한 f(A) 계산 과정에서 추가 비용 없이 모든 정점 쌍의 최단거리 정보를 얻는 알고리즘을 제안한다. 실험을 통해 제안 경계와 알고리즘의 효율성을 검증한다.

상세 분석

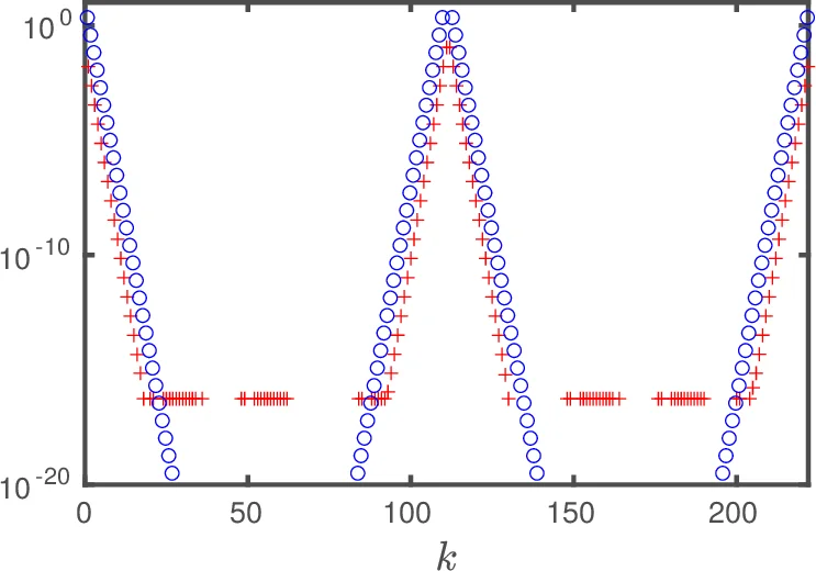
이 논문은 네트워크 중심성 및 통신 가능성을 행렬함수 f(A)의 특정 원소로 정의하는 기존 접근법의 실용적 한계를 극복하고자 한다. 핵심 아이디어는 그래프 G의 인접 행렬 A에 작은 스파스 교란 δA가 가해졌을 때, f(A)와 f(A+δA) 사이의 차이가 교란된 에지 집합 δE와 관심 정점 k,ℓ 사이의 최단거리 d_G(k,δE)·d_G(ℓ,δE) 에 의해 지수적으로 억제된다는 점이다. 이를 수학적으로 증명하기 위해 저자들은 Faber 다항식 전개와 밴드 행렬에 대한 기존 결과(특히 행렬 거듭제곱이 그래프 거리와 직접 연결된다는 성질)를 활용한다.

주요 정리는 두 가지 경우에 대해 제시된다. 첫째, 비대칭(또는 대칭) 인접 행렬 A 자체에 대한 경우이며, 둘째는 정규화된 랜덤 워크 행렬 (\tilde A = D^{-1}A) (D는 정점의 강도 대각 행렬) 에 대한 경우이다. 각각에 대해 exp(A)와 r_α(A) = (I-αA)^{-1} 같은 대표적인 함수에 대해 구체적인 상수 C와 감쇠율 α를 제공한다. 특히, exp(A)의 경우 계수 θ_n = 1/n! 로 인해 고차 항이 급격히 감소하므로 거리 d가 커질수록 변동이 거의 무시될 수 있음을 보인다.

또한, 저자들은 f(A)의 전형적인 계산(예: Krylov 서브스페이스 기반 방법)에서 얻어지는 행렬 곱 연산을 재활용해 모든 정점 쌍의 최단거리 d_G(i,j) 를 동시에 추출하는 알고리즘을 설계한다. 이 알고리즘은 기존의 Floyd‑Warshall 혹은 Johnson 알고리즘에 비해 메모리와 연산량 측면에서 거의 추가 비용이 들지 않는다.

실험 섹션에서는 합성 그래프와 실제 소셜·생물 네트워크에 대해 제안된 경계의 타당성을 검증한다. 변동된 에지가 그래프의 중심부에 위치할 때는 경계가 다소 보수적으로 작용하지만, 주변부에 국한된 교란에서는 실제 오차가 이론적 상한보다 현저히 작아 안정성 주장이 실질적으로 유효함을 보여준다. 또한, 최단거리 추출 알고리즘은 대규모 희소 그래프에서도 기존 방법 대비 2~3배 정도의 속도 향상을 기록한다.

전체적으로 이 연구는 네트워크 분석에서 행렬함수 기반 지표를 실시간 혹은 반복적인 업데이트 상황에 적용할 수 있는 이론적 근거와 실용적 도구를 제공한다는 점에서 의미가 크다. 특히, 중심성 점수가 높은 정점이 교란에 강인함을 거리 기반 지수 감쇠 형태로 정량화함으로써, 노이즈가 많은 데이터 환경에서도 핵심 정점을 신뢰성 있게 식별할 수 있다.


댓글 및 학술 토론

Loading comments...

의견 남기기