연결·자동차의 사회적 영향 분석: 게임 이론으로 본 딜레마와 정책 대응

연결·자동차의 사회적 영향 분석: 게임 이론으로 본 딜레마와 정책 대응
안내: 본 포스트의 한글 요약 및 분석 리포트는 AI 기술을 통해 자동 생성되었습니다. 정보의 정확성을 위해 하단의 [원본 논문 뷰어] 또는 ArXiv 원문을 반드시 참조하시기 바랍니다.

초록

본 논문은 연결·자동차(CAV)와 비CAV 여행 선택을 이진 전략으로 하는 정상형 게임을 구성하고, 이 게임이 전형적인 죄수의 딜레마와 동등한 구조임을 증명한다. 합리적 개인은 CAV를 선택하지만, 사회 최적은 모두가 비CAV를 이용하는 경우이다. 이를 해결하기 위해 선호 구조 기반 인센티브와 제도적 협상 두 가지 메커니즘을 제시하고, 각각의 균형 조건과 규모에 따른 효과를 분석한다.

상세 분석

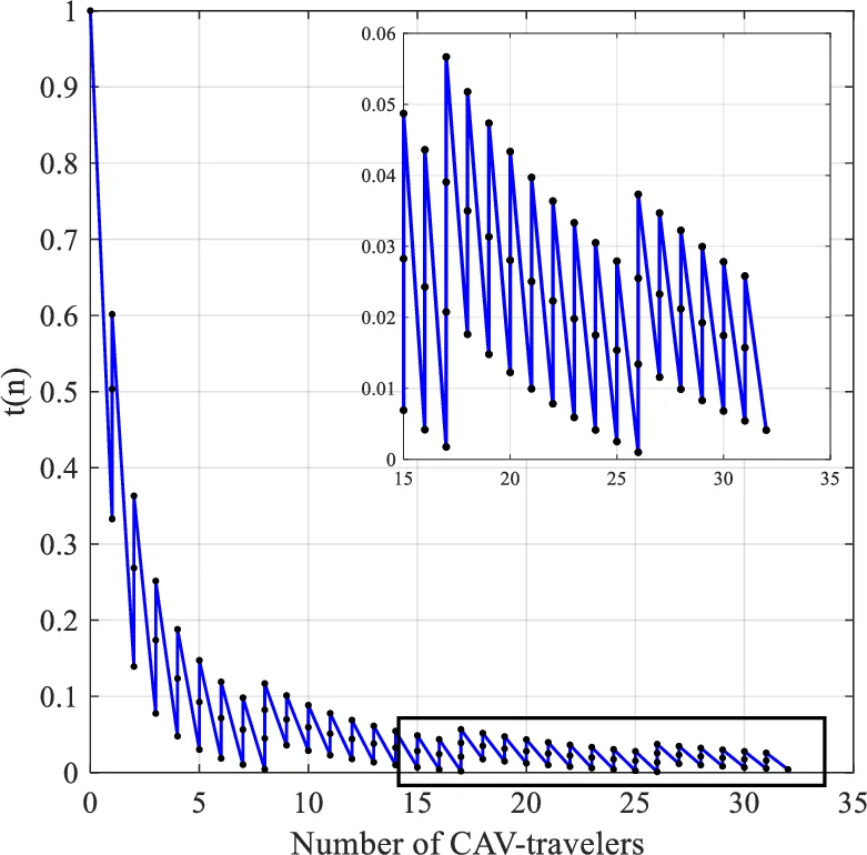
논문은 먼저 CAV 보급이 전면화된 미래 교통 시스템을 가정하고, n명의 여행자를 ‘플레이어’로 설정한다. 각 플레이어는 두 가지 행동, 즉 CAV 이용(C) 혹은 비CAV 이용(NC)을 선택한다. 기본적인 효용 구조는 다음과 같다. 모든 여행자는 기본 이득 c > 0을 얻으며, CAV를 이용하면 추가 이득 d > 0을 획득한다. 그러나 CAV 이용자는 도로 인프라에 부정적 외부효과 e > 0을 발생시키고, 이 비용은 전체 인구에 균등하게 분배되어 φ = e/n이 된다. 따라서 한 플레이어 i가 CAV를 선택했을 때의 순효용은 f_i(C,k) = c + d − (n − k)φ이며, 여기서 k 는 i를 제외한 비CAV 선택자 수이다. 반면 NC를 선택하면 f_i(NC,k) = c − (n − k − 1)φ이다.

이 효용식에서 중요한 점은 차이 α = f_i(C,k) − f_i(NC,k) = d − φ 가 k에 무관하게 양수이며 일정하다는 것이다. 즉, 개인에게는 언제나 CAV 선택이 지배전략이 된다. 그러나 전체 효용을 고려하면, 모든 플레이어가 NC를 선택했을 때 f_i(NC,n‑1) = c가, 모든 플레이어가 C를 선택했을 때 f_i(C,0) = c − 1보다 크다. 따라서 사회적으로는 NC가 파레토 우월하지만, 개인적 이성에 따라 C가 지배전략이 되는 전형적인 죄수의 딜레마 구조가 형성된다.

논문은 이 구조를 정리하여 ‘Theorem 1: G는 PD와 동등한 인센티브 구조를 가진다’라고 명시한다. 이어서 두 가지 해결책을 제시한다. 첫 번째는 ‘선호 구조(preference structure)’로, 정책 입안자가 비CAV 여행에 보조금을 제공하거나 CAV 이용에 비용을 부과함으로써 효용 차이 α를 음수로 만들고, 일정 비율 β (β ≥ k*/n) 이상의 플레이어가 NC를 선택하도록 유도한다. 여기서 k*는 논문이 도출한 최소 비CAV 선택자 수이며, β가 충분히 크면 NC가 나쉬 균형이 된다.

두 번째는 ‘제도적 협상(institutional arrangement)’ 접근이다. 플레이어들이 사전 협상을 통해 ‘비CAV 전용 제도’를 설계하고, 위반 시 벌금을 부과한다. 논문은 협상력이 플레이어 수 n에 반비례한다는 점을 이용해, 인센티브 비율 γ = (비CAV 효용 − CAV 효용)/CAV 효용이 n→∞일 때 0으로 수렴함을 증명한다. 즉, 대규모 사회에서는 제도적 억제만으로도 CAV 선택을 거의 완전히 억제할 수 있다.

수치 실험에서는 n=25, c=4.2827, d=2.2827, e=d+1을 설정하고, φ와 α를 계산해 payoff 행렬을 시각화한다. 결과는 k*≈5에서 NC의 효용이 C보다 크게 되며, 인센티브를 적용하면 k*가 크게 감소한다는 것을 보여준다.

전체적으로 논문은 CAV 도입이 초래할 수 있는 ‘사회적 이동성 딜레마’를 게임 이론적으로 정량화하고, 정책 설계자가 어떻게 인센티브와 제도를 활용해 사회 최적을 달성할 수 있는지를 체계적으로 제시한다.


댓글 및 학술 토론

Loading comments...

의견 남기기