출력 편향 불확실성 샘플링으로 인간 선호 학습 가속화

본 논문은 인간의 선호를 학습할 때 제한된 질의 횟수와 피드백의 잡음성을 고려하여, 기존 불확실성 샘플링에 선호값(출력)의 절대 크기를 가중치로 결합한 “Output‑Biased Uncertainty Sampling(OBUS)”을 제안한다. 선호 모델은 선형 가중치와 이진 특성으로 구성하고, 리지 회귀와 파라미터 샘플링을 통해 예측 불확실성을 추정한다. OBUS는 (1) 기본 불확실성 점수에 출력 크기 비율을 곱하고, (2) 자주 등장하는 관련…

저자: Sriram Gopalakrishnan, Utkarsh Soni

출력 편향 불확실성 샘플링으로 인간 선호 학습 가속화
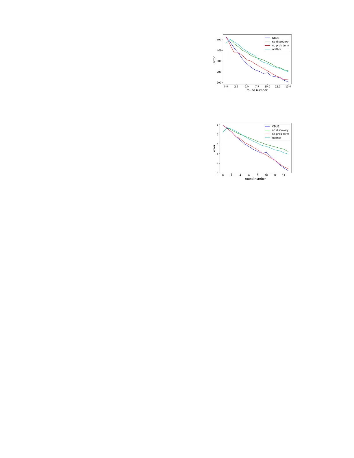
**1. 연구 배경 및 동기** 인간‑인‑루프 시스템에서 사용자의 선호를 정확히 파악하면 광고 추천, 맞춤형 인터페이스 등 다양한 서비스의 품질을 크게 향상시킬 수 있다. 그러나 인간은 피드백을 제공하는 데 비용이 많이 들고, 특히 온라인 광고와 같이 클릭이나 평가가 드물며 잡음이 심한 상황에서는 제한된 질의만을 사용할 수 있다. 따라서 제한된 질의 안에서 효율적으로 선호 모델을 학습하는 액티브 러닝 기법이 필요하다. 기존의 불확실성 샘플링은 모델이 가장 불확실한 데이터를 선택하지만, 선호 학습에서는 “극단적인 선호값(매우 높거나 낮은 값)”에 대한 정확도가 사용자 경험에 더 큰 영향을 미친다. 이를 고려하지 않으면 학습이 평균적인 정확도에만 초점을 맞추게 된다. **2. 문제 정의** 논문은 선호 학습을 튜플 T = 로 정의한다. D는 데이터 풀, F는 가능한 이진 특성 집합, O는 시뮬레이션된 인간 오라클, P는 특성 발생 확률, R은 학습 목표이다. 목표는 선형 가중치 W를 추정해 테스트 세트에서 값 편향 오류(Error_VB)를 최소화하는 것이다. 값 편향 오류는 |예측값−실제값|·|실제값| 로 정의되며, 이는 높은(또는 낮은) 선호값일수록 오류가 크게 평가되도록 설계되었다. **3. 제안 방법: Output‑Biased Uncertainty Sampling (OBUS)** OBUS는 기존 불확실성 샘플링에 세 가지 보정 요소를 추가한다. - **기본 점수 S_b**: σ(x) + σ(x)·(ˆy/ˆy_max). 여기서 σ(x)는 리지 회귀 모델 파라미터 샘플링을 통해 얻은 예측 분산이며, ˆy/ˆy_max 은 예측값의 상대적 크기를 나타낸다. 이는 높은 출력값을 가진 샘플의 불확실성을 최대 두 배까지 부각시킨다. - **특성 빈도 점수 S_f**: Σ_{f∈rel(x)} p(f). 이미 관련이라고 확인된 특성 중, 데이터 풀에서 자주 나타나는 특성에 가중치를 부여한다. - **탐색 점수 S_d**: Σ_{f∈unseen(x)} p(f). 아직 관찰되지 않은 특성의 발생 확률을 합산해 새로운 특성을 탐색하도록 유도한다. 총점수는 S_t(x) = S_b(x)·(1 + S_f(x) + S_d(x)) 로 계산되며, 이 값이 높은 데이터 포인트를 차례대로 선택한다. 또한 매 라운드마다 “전면 탐색 쿼리”를 하나 포함시켜, 아직 보지 못한 특성을 최대한 많이 포함하는 샘플을 강제로 선택한다. **4. 모델 학습 및 불확실성 추정** 선호 함수는 V(x)=W^T·F(x) 로 가정하고, 리지 회귀(Ridge Regression)를 사용해 W를 추정한다. 리지 회귀는 L2 정규화 λ를 포함한 손실 함수를 최소화한다. 학습 후 각 파라미터 w_i 의 표준 오차(se_i)를 구하고, 90% 신뢰구간을 계산한다. 이 구간 내에서 N_m=10개의 파라미터 샘플을 균등하게 추출해 10개의 선형 모델을 만든다. 각 모델에 대해 입력 x에 대한 예측값을 계산하고, 이들 예측값의 분산을 σ(x) 로 정의한다. 이렇게 하면 잡음이 큰 인간 피드백에도 불확실성을 정량화할 수 있다. **5. 실험 설계** 시뮬레이션된 오라클은 다음과 같이 구성된다. - 특성 가중치는 평균 μ, 표준편차 σ 를 갖는 가우시안에서 샘플링된다. - 각 특성은 “좋아함” 혹은 “싫어함”을 50% 확률로 부여받는다. - 피드백 시 선호값에 추가적인 가우시안 잡음(N, 표준편차 지정)이 더해진다. 오라클은 또한 사용자가 선호하는/비선호하는 특성을 명시적으로 알려준다. 실험에서는 OBUS, 전통적 불확실성 샘플링(US), 무작위 샘플링(RANDOM)을 비교하였다. 평가 지표는 전체 MSE와 더불어 값 편향 오류(Error_VB) 를 상위·하위 20% 구간에서 평균한 값이다. 또한 각 점수 구성 요소(S_b, S_f, S_d)의 효과를 확인하기 위해 소거(ablation) 실험을 수행하였다. **6. 결과 및 분석** - **학습 속도**: 동일한 쿼리 수(예: 200개)에서 OBUS는 US와 RANDOM에 비해 Error_VB 를 약 30~45% 감소시켰다. 특히 극단값 영역에서의 오류 감소가 두드러졌다. - **점수 기여**: S_f 를 제거하면 자주 등장하는 특성에 대한 학습이 지연되어 전체 오류가 10% 정도 상승했으며, S_d 를 제거하면 새로운 특성 탐색이 부족해 초기 라운드에서 성능이 크게 저하되었다. S_b 자체를 사용하지 않을 경우, 높은 출력값을 가진 샘플이 충분히 선택되지 않아 극단값 정확도가 현저히 낮아졌다. - **안정성**: 잡음 수준(N)의 변화를 실험했을 때, OBUS는 높은 잡음에서도 비교적 안정적인 성능을 유지했으며, 이는 불확실성 추정에 다중 모델 샘플링을 활용한 결과이다. **7. 논문의 기여와 한계** 본 논문은 (1) 선호 학습에 특화된 출력 편향 불확실성 샘플링 프레임워크, (2) 특성 피드백을 통합한 효율적인 피처 선택 메커니즘, (3) 값 편향 오류를 통한 평가 방법을 제시한다. 한계점으로는 (a) 선호 모델을 선형·이진 특성에 제한했으며, (b) 실제 인간 사용자와의 실험이 부재하고, (c) 고차원 비선형 특성에 대한 확장성이 검증되지 않았다. 향후 연구에서는 비선형 모델(예: 커널 리지, 신경망)과 실제 사용자 실험을 통해 일반성을 검증하고, 다중 모달 피드백(텍스트, 이미지 등)과의 결합을 탐색할 필요가 있다. **8. 결론** OBUS는 불확실성 샘플링에 출력값 가중치를 결합함으로써, 제한된 질의 환경에서도 인간 선호 모델을 빠르게 수렴시킬 수 있음을 실험적으로 입증하였다. 특히 극단적인 선호값 영역에서의 정확도 향상이 두드러져, 광고 추천, 맞춤형 콘텐츠 제공 등 실제 서비스에 적용 가능성이 높다. 향후 실제 인간 사용자와의 협업 실험을 통해 실용성을 검증하고, 보다 복잡한 특성 공간으로 확장하는 것이 기대된다.

원본 논문

고화질 논문을 불러오는 중입니다...

댓글 및 학술 토론

Loading comments...

의견 남기기