분산 전방 후방 및 전방 후방 전방 알고리즘을 이용한 일반화 나쉬 균형 탐색
본 논문은 단조 게임에서 변분형 일반화 나쉬 균형(v‑GNE)을 찾기 위한 두 가지 새로운 분산 알고리즘을 제안한다. 첫 번째는 전방‑후방‑전방(FBF) 분할에 기반하고, 두 번째는 코코시브성을 필요로 하는 전방‑후방‑반전방(FBHF) 분할에 기반한다. 두 알고리즘은 기존의 전방‑후방(FB) 방법보다 약한 강단조성 가정만을 요구하며, 수치 실험을 통해 성능을 비교한다.
저자: Barbara Franci, Mathias Staudigl, Sergio Grammatico
본 논문은 다중 에이전트가 각자 비용 함수를 최소화하면서 공유 제약(예: 자원 제한)을 만족해야 하는 일반화 나쉬 균형(GNE) 문제를 다룬다. 특히, 변분형 GNE(v‑GNE)를 목표로 설정하고, 이를 변분 불평등(variational inequality) 형태로 변환한다. 저자들은 먼저 기존 연구에서 사용된 전방‑후방(FB) 알고리즘을 검토한다. FB는 연산자 A(그라디언트와 라그랑주 승수), B(연결된 라그랑주 변수와 보조 변수), C(비스무스 연산자)로 구성된 합을 풀기 위해 전처리 행렬 Φ를 도입한다. 그러나 FB는 pseudo‑gradient F가 강단조성을 만족해야 하며, 이는 실제 게임에서 제한적이다. 이를 해결하고자 두 가지 새로운 분산 알고리즘을 제안한다.
첫 번째 알고리즘은 전방‑후방‑전방(FBF) 분할에 기반한다. 연산자 D=A+B를 단일값 연산자로 두고, C와 D의 합에 대해 전방‑후방‑전방 스키마를 적용한다. 구체적으로, 각 에이전트는 현재 상태 v_k=(x_k,z_k,λ_k)를 받아 C의 근접 연산자를 적용해 u_k를 계산하고, 이후 D에 대한 전방 단계와 보정 단계를 수행한다. 이 과정에서 두 번의 그래디언트 평가와 두 번의 통신 라운드가 필요하지만, 강단조성 대신 일반적인 단조성만을 가정하면 수렴을 보장한다. 수학적으로는 Ψ⁻¹가 D의 Lipschitz 상수 L_D보다 작을 경우(Assumption 2) 고정점 이론에 의해 수렴이 증명된다.
두 번째 알고리즘은 전방‑후방‑반전방(FBHF) 분할을 활용한다. 여기서는 코코시브성을 만족하는 경우에만 적용 가능하지만, 한 번의 그래디언트 평가와 한 번의 통신 라운드만으로 구현할 수 있다. 이 방법은 기존 FB와 유사한 구조를 가지면서도, 반전방 단계가 추가되어 수렴 속도가 개선될 수 있다. 코코시브성은 pseudo‑gradient F가 η‑강단조성을 만족하고, Φ⁻¹A가 αθ‑코코시브가 되도록 단계 크기를 조정함으로써 확보한다.
알고리즘 구현 측면에서, 각 에이전트 i는 자신의 로컬 변수 x_i, 라그랑주 승수 λ_i, 보조 변수 z_i만을 유지한다. 통신은 무방향 가중 그래프 W에 의해 정의된 이웃 집합 N_i와만 이루어지며, 중앙 조정자는 존재하지 않는다. 이로써 스케일러블하고 프라이버시를 보장하는 분산 구조가 완성된다.
수렴 분석에서는 연산자 C+ D가 최대 단조성을 유지함을 Lemma 1을 통해 확인하고, Φ⁻¹A 혹은 Φ⁻¹D가 코코시브성을 갖는 조건 하에 Bauschke‑Combettes의 고정점 정리를 적용한다. Theorem 1은 Assumption 2가 만족될 때 FBF 알고리즘이 v‑GNE에 수렴함을 보이며, FBHF 알고리즘도 동일한 전제(강단조성 + 코코시브성) 하에 수렴을 보장한다.
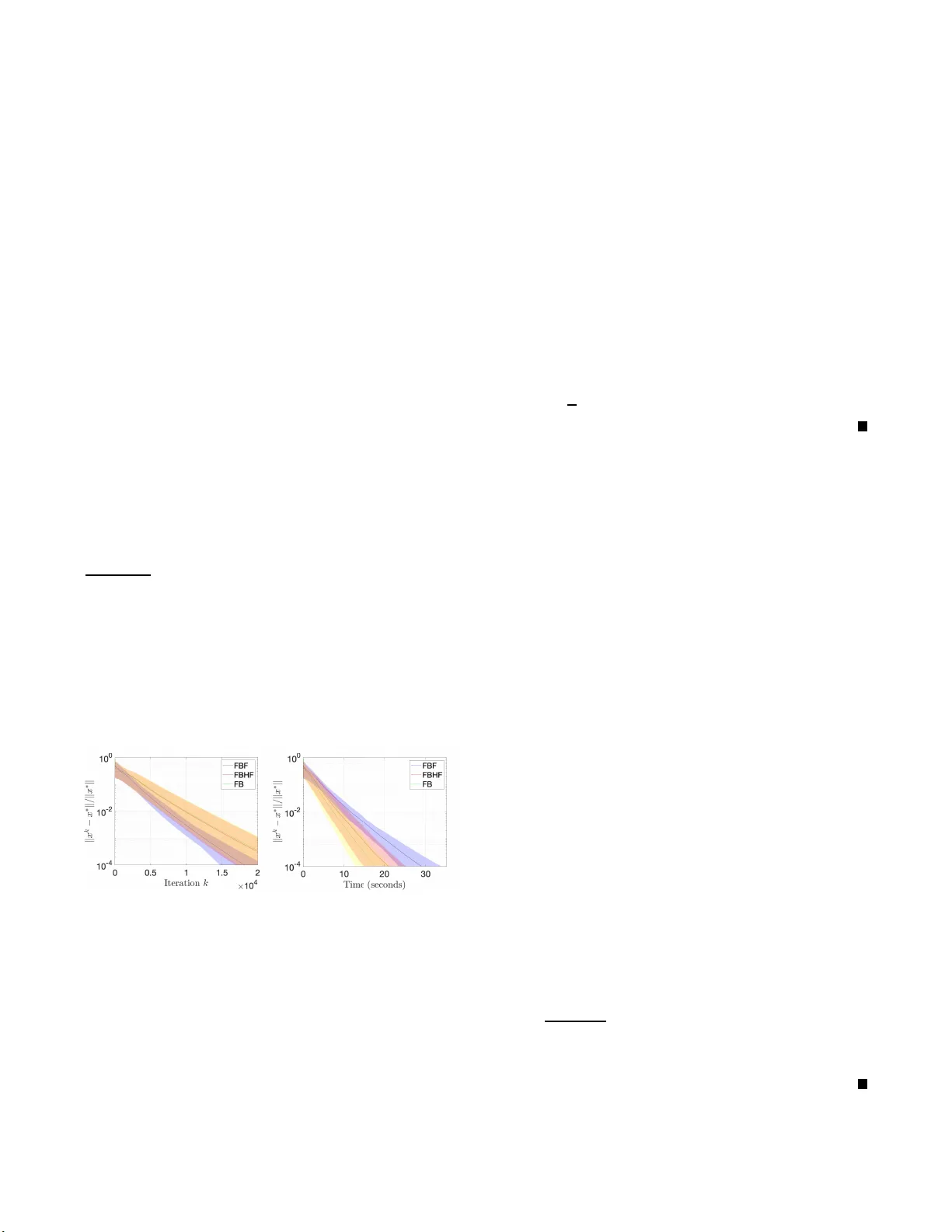
실험 부분에서는 네트워크 전력 할당 문제와 교통 흐름 제어 문제를 시뮬레이션한다. 각 시나리오에서 FBF, FBHF, 기존 FB 알고리즘을 비교했으며, 강단조성이 깨지는 경우에도 FBF가 안정적으로 수렴함을 확인했다. 반면, FBHF는 강단조성이 유지될 때 가장 빠른 수렴 속도를 보였으며, 통신 비용 면에서도 FB보다 효율적이었다. 전체적으로, 제안된 두 알고리즘은 기존 방법보다 가정이 완화되고, 분산 환경에서 실용적인 성능을 제공한다는 점에서 의미가 크다.
원본 논문
고화질 논문을 불러오는 중입니다...
댓글 및 학술 토론
Loading comments...
의견 남기기