방향성 특성을 활용한 LSF 파라미터 양자화: von Mises‑Fisher 혼합 모델 기반 VQ

본 논문은 선형예측코딩(LPC)에서 사용되는 라인 스펙트럼 주파수(LSF) 파라미터를 제곱근 ΔLSF 형태로 변환한 뒤, 양의 원소만을 갖는 단위벡터로 표현한다. 이 단위벡터는 초구 위에 분포하므로 von Mises‑Fisher(vMF) 혼합 모델(VMM)로 확률밀도함수를 추정한다. 고속률 양자화 이론과 제약 엔트로피 조건을 이용해 각 혼합 성분에 최적 비트 할당을 도출하고, 이를 기반으로 VMM 기반 벡터 양자화(VVQ)를 설계한다. 실험 결…

저자: Zhanyu Ma, Arne Leijon

방향성 특성을 활용한 LSF 파라미터 양자화: von Mises‑Fisher 혼합 모델 기반 VQ
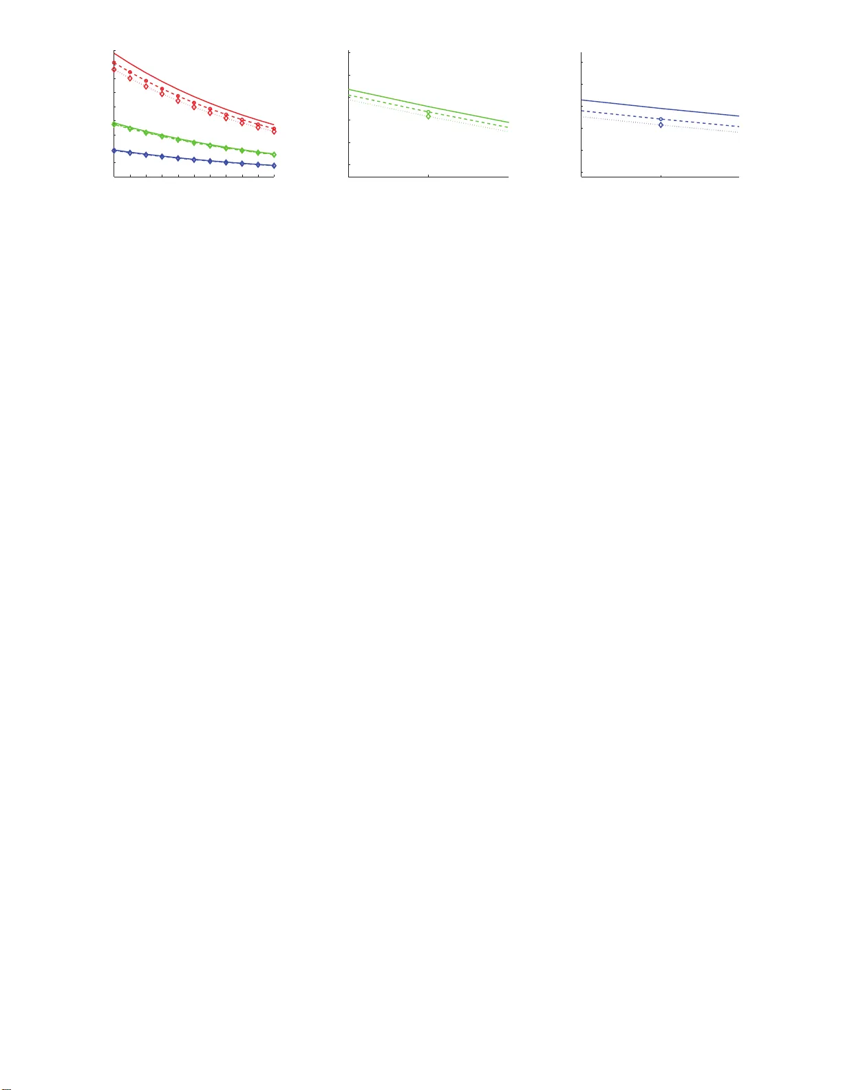
본 논문은 선형예측코딩(LPC) 기반 음성 코딩에서 핵심적인 역할을 하는 라인 스펙트럼 주파수(LSF) 파라미터의 효율적인 양자화를 목표로 한다. 기존 연구에서는 LSF 자체를 직접 양자화하거나, ΔLSF(차분 LSF) 형태로 변환해 Gaussian 혼합 모델(GMM)이나 Beta 혼합 모델(BMM) 등을 적용해 왔으며, 특히 LSF의 순서성(정렬)과 경계성(0~π 구간)을 반영하기 위해 Dirichlet 혼합 모델(DMM)을 도입한 DVQ가 제안되었다. 그러나 이러한 모델들은 LSF가 갖는 “방향성” 특성을 충분히 활용하지 못한다는 한계가 있다. 이에 저자들은 LSF를 먼저 ΔLSF로 변환한 뒤, 각 차분값에 제곱근을 취해 SR ΔLSF를 만든다. SR ΔLSF는 모든 원소가 양수이며, 마지막에 보강 요소를 추가해 K+1 차원의 단위벡터 x로 정규화한다. 이 벡터는 초구(S^{K}) 위에 존재하므로, 방향성을 갖는 확률분포인 von Mises‑Fisher(vMF) 분포가 자연스러운 선택이 된다. vMF는 평균 방향 µ와 농도 파라미터 λ으로 정의되며, λ가 클수록 µ에 집중되는 특성을 가진다. 논문은 이러한 vMF 분포를 I개의 혼합 성분으로 확장한 VMM을 채택한다. EM 알고리즘을 통해 각 성분의 평균 방향 µ_i, 농도 λ_i, 그리고 혼합 가중치 π_i를 추정한다. E‑step에서는 posterior 확률 p(i|x_n)=α_i F(x_n|µ_i,λ_i)/Σ_j α_j F(x_n|µ_j,λ_j) 를 계산하고, M‑step에서는 이 확률을 가중치로 사용해 µ_i와 λ_i를 업데이트한다. λ_i는 평균 방향 벡터의 길이 r̄_i를 이용한 근사식 λ_i = r̄_i·(K−r̄_i)/(1−r̄_i²) 로 구한다. 다음으로 저자들은 고속률 양자화 이론을 적용해 D‑R 관계를 유도한다. 제약 엔트로피(Constrained Entropy, CE) 상황을 가정하면, 평균 비트율 R와 왜곡 D 사이의 관계는 D(R)=C·e^{−rK(R−h)} 로 표현된다. 여기서 h는 변수 x의 미분 엔트로피, K는 차원, r은 왜곡 차수(여기서는 2)이다. 전체 비트율 R는 혼합 성분 식별을 위한 R_a=ln I와 실제 양자화에 사용되는 R_q=R−R_a 로 나뉜다. 각 성분 i에 할당되는 비트 R_i는 라그랑주 승수를 이용한 최적화 결과 R_i = R_q + h_i(x) − Σ_j π_j h_j(x) 로 도출된다. h_i(x)=−ln c_{K+1}(λ_i)−λ_i 로 계산되며, c_{K+1}(·)는 vMF 정규화 상수이다. 이 최적 비트 할당을 적용하면, 모든 성분이 동일한 “효율”을 갖게 되어 전체 시스템의 왜곡은 D(R)=D_i(R_i) 로 단순화된다. 즉, 개별 성분의 고속률 D‑R 식을 그대로 사용한다. 실험에서는 16‑dimensional LPC 파라미터를 LSF, ΔLSF, SR ΔLSF 로 변환하고, 각각 GMM, DMM, VMM을 학습하였다. 16, 32, 64개의 혼합 성분을 사용한 경우를 비교했으며, VVQ(VMM 기반 VQ)가 동일 비트율에서 가장 낮은 평균 제곱오차(MSE)를 기록했다. 특히 고비트율 영역에서 VMM의 높은 농도 파라미터가 SR ΔLSF의 방향성을 효과적으로 포착해 왜곡을 크게 감소시켰다. 혼합 성분 수를 늘릴수록 성능 향상이 관찰되었으며, 이는 VMM이 복잡한 다변량 분포를 유연하게 모델링함을 시사한다. 결론적으로, LSF 파라미터를 SR ΔLSF 단위벡터로 변환해 초구 위에 매핑하고, vMF 혼합 모델을 이용해 확률밀도함수를 정확히 추정한 뒤, 고속률 양자화 이론과 제약 엔트로피 조건 하에 최적 비트 할당을 수행함으로써 기존 GVQ와 DVQ에 비해 전반적인 D‑R 성능을 크게 향상시켰다. 향후 연구에서는 vMF 전용 고효율 격자 양자화 알고리즘 개발, 성분 간 상관성을 고려한 비트 할당 전략, 그리고 실시간 코딩 시스템에의 적용 가능성을 탐색할 계획이다.

원본 논문

고화질 논문을 불러오는 중입니다...

댓글 및 학술 토론

Loading comments...

의견 남기기