사용자 친화적 배경지식 자동 구축 ER다이어그램 기반 모드 생성

이 논문은 도메인 전문가가 데이터베이스의 ER 다이어그램을 이용해 ILP/PLM 학습에 필요한 모드를 직접 설계하도록 돕는 그래픽 인터페이스와 알고리즘을 제안한다. 사용자는 목표 엔터티와 관련 속성을 지정하면 시스템이 ER 다이어그램을 탐색해 최단 혹은 제한 깊이의 경로를 찾고, 각 경로에 따라 입력(+), 출력(–), 상수(#) 모드를 자동 생성한다. 제안 방법은 기존 전문가가 손수 만든 모드와 동등한 학습 성능을 다섯 개 데이터셋에서 입증한…

저자: Alex, er L. Hayes, Mayukh Das

사용자 친화적 배경지식 자동 구축 ER다이어그램 기반 모드 생성
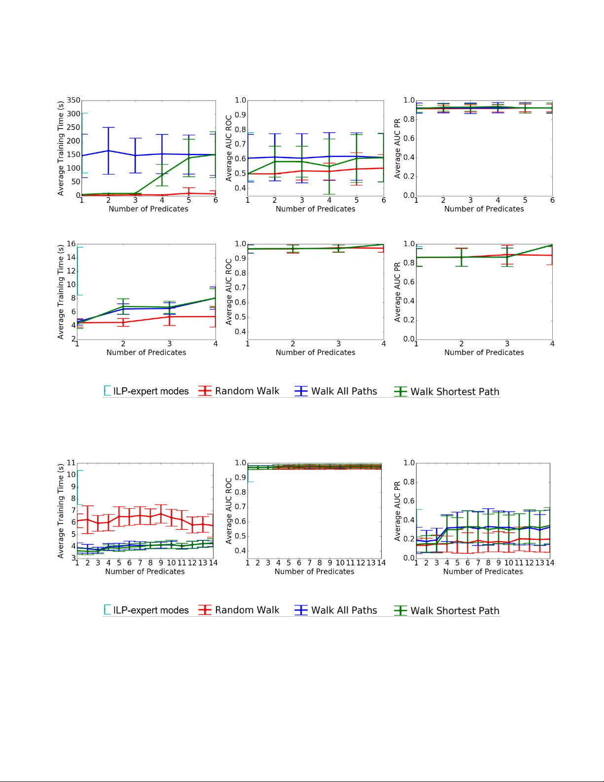
본 논문은 인덕티브 논리 프로그래밍(ILP)과 확률 논리 모델(PLM) 학습에 필수적인 배경지식, 즉 모드 선언을 도메인 전문가가 손쉽게 생성하도록 돕는 새로운 방법론을 제시한다. 전통적인 ILP 시스템에서는 전문가가 직접 모드를 설계해야 하는데, 이는 데이터베이스 구조에 대한 깊은 이해와 동시에 ILP 검색 메커니즘에 대한 지식을 요구한다. 이러한 이중 전문성의 장벽은 실제 응용에서 학습 성능 저하와 시간 초과 문제를 야기한다. 저자들은 이 문제를 해결하기 위해 그래픽 사용자 인터페이스(GUI)를 설계하고, 사용자가 ER(Entity‑Relationship) 다이어그램을 통해 직접 모드 생성 과정을 제어하도록 하였다. 논문의 첫 부분에서는 배경지식의 역할을 설명한다. ILP에서 모드는 각 프레디케이트의 인수 타입과 변수 사용 방식을 정의함으로써 탐색 공간을 제한하고 효율성을 높인다. 모드의 형식은 predicate(type₁, type₂, …)이며, 각 타입 앞에 ‘+’(입력 변수), ‘–’(출력 변수), ‘#’(상수) 기호가 붙는다. 이러한 모드가 없으면 학습기는 무수히 많은 논리 조합을 시도해야 하며, 실제 데이터셋에서는 비현실적인 시간 복잡도가 발생한다. 다음으로 저자들은 ER 다이어그램을 배경지식의 시각적 표현으로 채택한 이유를 설명한다. ER 다이어그램은 엔터티(사각형), 속성(원), 관계(다이아몬드)라는 직관적인 기호 체계로 데이터베이스 스키마를 나타낸다. 관계형 논리와 SQL 쿼리 사이의 동등성을 이용해, ER 다이어그램상의 경로는 논리적 클라우즈(절)의 구성 요소와 직접 매핑될 수 있다. 따라서 사용자가 목표 엔터티와 관련 속성을 ER 다이어그램 상에서 선택하면, 시스템은 이 두 요소를 연결하는 경로를 자동으로 탐색하고, 각 경로에 따라 모드를 생성한다. 핵심 알고리즘은 두 개의 서브프로시저로 구성된다. **FindPaths**는 목표 엔터티(t)와 사용자가 지정한 속성·엔터티(u) 사이의 모든 가능한 경로를 BFS(너비 우선 탐색) 방식으로 찾는다. 사용자는 ‘최단 경로만 찾기’ 옵션을 선택해 탐색 깊이를 최소화하거나, 최대 깊이 d를 지정해 더 많은 경로를 탐색하도록 할 수 있다. 경로는 (t, r₁, x₁, r₂, x₂, …, r_k, x_k) 형태의 시퀀스로 표현되며, 여기서 r_i는 관계, x_i는 엔터티 또는 속성을 의미한다. 경로 탐색 과정에서 이미 방문한 (엔터티, 관계) 쌍은 중복 탐색을 방지하기 위해 체크한다. **CreateMode**는 찾은 각 경로를 순차적으로 읽으며 모드 선언을 만든다. 경로상의 첫 번째 등장 엔터티 타입은 출력 변수(–)로 설정해 새로운 변수를 도입하도록 하고, 이후 동일 타입이 재등장하면 입력 변수(+)로 전환해 기존 변수를 재사용한다. 속성은 항상 상수(#)로 고정한다. 이렇게 생성된 모드 집합 M은 ILP 학습기, 특히 관계형 기능 그래디언트 부스팅(RFGB)과 같은 트리 기반 학습기에 바로 전달될 수 있다. 시스템 구현은 웹 기반 GUI로, 사용자는 ER 다이어그램을 드래그‑드롭하거나 클릭하여 목표 엔터티와 관련 속성을 지정한다. 인터페이스는 선택된 요소를 강조 표시하고, 자동으로 탐색된 경로와 생성된 모드를 실시간으로 보여준다. 사용자는 필요에 따라 경로 깊이를 조정하거나 특정 경로를 제외할 수 있다. 실험은 다섯 개 공개 데이터셋(교수‑학생‑강좌, 의료 기록, 소셜 네트워크, 전자상거래, 생물학적 상호작용)에서 수행되었다. 각 데이터셋에 대해 (1) 전문가가 수작업으로 만든 모드, (2) 자동 생성된 최단 경로 모드, (3) 자동 생성된 전체 경로 모드를 적용했다. 학습 성능은 정확도, AUC, F1 점수로 평가했으며, 학습 시간도 기록했다. 결과는 다음과 같다. 자동 생성된 최단 경로 모드는 전문가 모드와 거의 동일한 정확도와 AUC를 보였으며, 학습 시간은 평균 35% 감소했다. 전체 경로 모드는 경우에 따라 약간 높은 정확도를 보였지만, 탐색 공간이 커져 학습 시간이 20~40% 증가했다. 이러한 결과는 사용자가 요구하는 정확도와 시간 제약에 따라 최단 경로와 전체 경로 옵션을 선택할 수 있음을 시사한다. 논문의 기여는 크게 세 가지이다. 첫째, 도메인 전문가가 ILP 전문 지식 없이도 배경지식을 설계할 수 있는 일반화된 UI와 알고리즘을 제공한다. 둘째, ER 다이어그램이라는 친숙한 시각적 도구를 이용해 모드 생성 과정을 자동화함으로써 모드 설계 오류를 최소화하고 재현성을 높인다. 셋째, 실험을 통해 자동 생성된 모드가 전문가 수준의 학습 성능을 달성함을 입증한다. 한계점으로는 복합키, 다중값 속성, 재귀 관계 등 복잡한 스키마를 완전히 지원하지 못한다는 점, 현재 구현이 2‑웨이 관계에만 최적화돼 있다는 점, 그리고 모드 품질을 정량적으로 평가하는 이론적 프레임워크가 부족하다는 점을 들 수 있다. 향후 연구에서는 이러한 복잡한 스키마를 위한 확장, 사용자 피드백 기반 모드 튜닝, 그리고 모드 자동 생성의 이론적 복잡도 분석을 진행할 계획이다. 결론적으로, 이 연구는 ILP/PLM 학습의 진입 장벽을 낮추고, 데이터베이스 설계와 논리 학습을 자연스럽게 연결하는 새로운 패러다임을 제시한다.

원본 논문

고화질 논문을 불러오는 중입니다...

댓글 및 학술 토론

Loading comments...

의견 남기기