가중 네트워크 흐름 최적화와 연쇄 붕괴 연구

가중 네트워크 흐름 최적화와 연쇄 붕괴 연구
안내: 본 포스트의 한글 요약 및 분석 리포트는 AI 기술을 통해 자동 생성되었습니다. 정보의 정확성을 위해 하단의 [원본 논문 뷰어] 또는 ArXiv 원문을 반드시 참조하시기 바랍니다.

초록

본 논문은 복잡계 네트워크의 간선 가중치를 (C_{ij}\propto (k_i k_j)^{\beta}) 로 설정하고, 전류 흐름 모델을 이용해 분산 흐름 효율과 연쇄 붕괴에 대한 복원력을 분석한다. β 값을 조절해 허브 중심 흐름(β>0)과 허브 회피 흐름(β<0)을 만들고, 노드 용량 제한과 대역폭 제한 두 경우에 대한 최대 처리량(throughput)을 계산한다. 결과는 노드 용량이 제한된 경우 β≈−1에서, 대역폭이 제한된 경우 β≈0.1에서 네트워크 전체 처리량이 최적화되며, 동일한 β 값이 연쇄 붕괴에 대한 내성 역시 최고임을 보여준다.

상세 분석

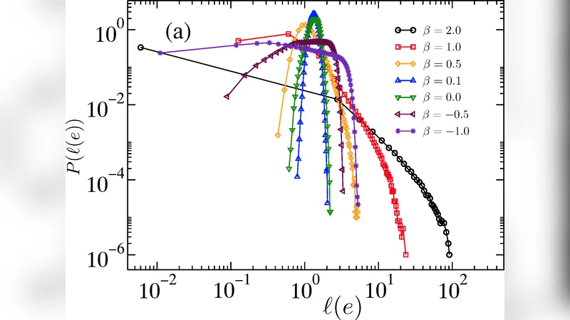
이 연구는 복잡계 네트워크에서 흐름을 제어하는 가장 단순하면서도 핵심적인 모델인 랜덤 저항망을 선택한다. 각 간선의 전도도 (C_{ij}=a_{ij}(k_i k_j)^{\beta}) 로 정의함으로써, β 파라미터가 네트워크 구조와 흐름 사이의 상관관계를 조절한다. β>0이면 고차수 노드(허브) 주변에 전류가 집중되고, β<0이면 허브를 회피해 저차수 노드로 흐름이 분산된다. 논문은 Kirchhoff 법칙과 라플라시안 행렬의 의사역을 이용해 모든 소스‑타깃 쌍에 대해 전압과 전류를 정확히 계산한다.

로드(부하) 지표는 두 가지로 정의된다. 정점 부하 (\ell_i)는 해당 노드를 통과하는 전류의 절대값 합이며, 간선 부하 (\ell_{ij})는 간선을 흐르는 전류의 절대값이다. β 변화에 따라 부하 분포가 크게 달라지는데, β≈−1에서는 정점 부하가 거의 균등하게 분포해 분산 흐름이 최적화된다. 반면 β≈0.1에서는 간선 부하가 균형을 이루어 대역폭 제한 상황에서 병목 현상이 최소화된다.

두 가지 제한 조건을 고려한다. (i) 노드‑제한(Node‑limited) 상황에서는 모든 노드의 처리능력이 1로 동일하고, 간선 대역폭은 무한대이다. 이 경우 최대 입력 전류 (\Phi^{(n)}c = 1/\ell{\max}) 로 정의되며, β≈−1에서 (\Phi^{(n)}_c)가 최고값을 갖는다. (ii) 간선‑제한(Edge‑limited) 상황에서는 노드 용량이 무한하고, 모든 간선의 대역폭이 1로 제한된다. 여기서는 (\Phi^{(e)}c = 1/\ell^{(e)}{\max}) 로 표현되고, β≈0.1에서 최적값을 보인다. 두 경우 모두 (\Phi^{(e)}_c > \Phi^{(n)}_c) 로, 대역폭 제한보다 노드 용량 제한이 전체 처리량에 더 큰 영향을 미침을 확인한다.

또한 실제 인터넷 AS‑레벨 네트워크에 적용해 보았는데, 이 네트워크는 비상관(assortativity) 특성이 음수인 이분산 구조다. 실험 결과는 비상관 네트워크에서 정점 부하 균형을 이루기 위해서는 β가 더 낮은(≈−1.75) 값이 필요함을 보여준다. 이는 허브 회피 흐름이 더 강하게 요구된다는 의미이다.

연쇄 붕괴 분석에서는 초기 과부하된 노드가 주변 노드에 부하를 전이시키는 과정을 시뮬레이션한다. 부하 전이 모델은 각 노드의 용량을 (C_i = (1+\alpha) \ell_i) 로 설정하고, α가 작을수록 시스템이 취약해진다. β가 최적값(노드‑제한에서는 ≈−1, 간선‑제한에서는 ≈0.1)일 때, 초기 과부하가 발생해도 전체 네트워크가 붕괴하는 임계 α값이 가장 크게 나타난다. 즉, 동일한 β가 흐름 효율과 붕괴 복원력 두 측면에서 동시에 최적임을 입증한다.

전체적으로 이 논문은 간단한 전류 흐름 모델을 통해 복잡 네트워크에서 가중치 설계가 흐름 효율, 처리량, 그리고 연쇄 붕괴 복원력에 미치는 영향을 정량적으로 밝혀냈으며, β라는 하나의 파라미터만으로 네트워크 설계 목표를 동시에 달성할 수 있음을 제시한다.


댓글 및 학술 토론

Loading comments...

의견 남기기