반파라메트릭 추정으로 보는 비코히런트 광학 영상의 한계와 SPADE 우월성

본 논문은 무한 개의 누설 파라미터가 존재하는 상황에서도 관심 파라미터에 대한 정확한 Cramér‑Rao 한계를 구할 수 있는 반파라메트릭 추정 이론을 비코히런트 광학 영상에 적용한다. 직접 영상과 양자 영감을 받은 공간모드 디멀티플렉싱(SPADE) 두 측정 방식에 대해 정확한 반파라메트릭 CRB와 효율적인 추정기를 도출하고, SPADE가 사전 정보가 거의 없을 때조차도 순간(moment) 추정에서 우수함을 증명한다.

저자: Mankei Tsang

반파라메트릭 추정으로 보는 비코히런트 광학 영상의 한계와 SPADE 우월성
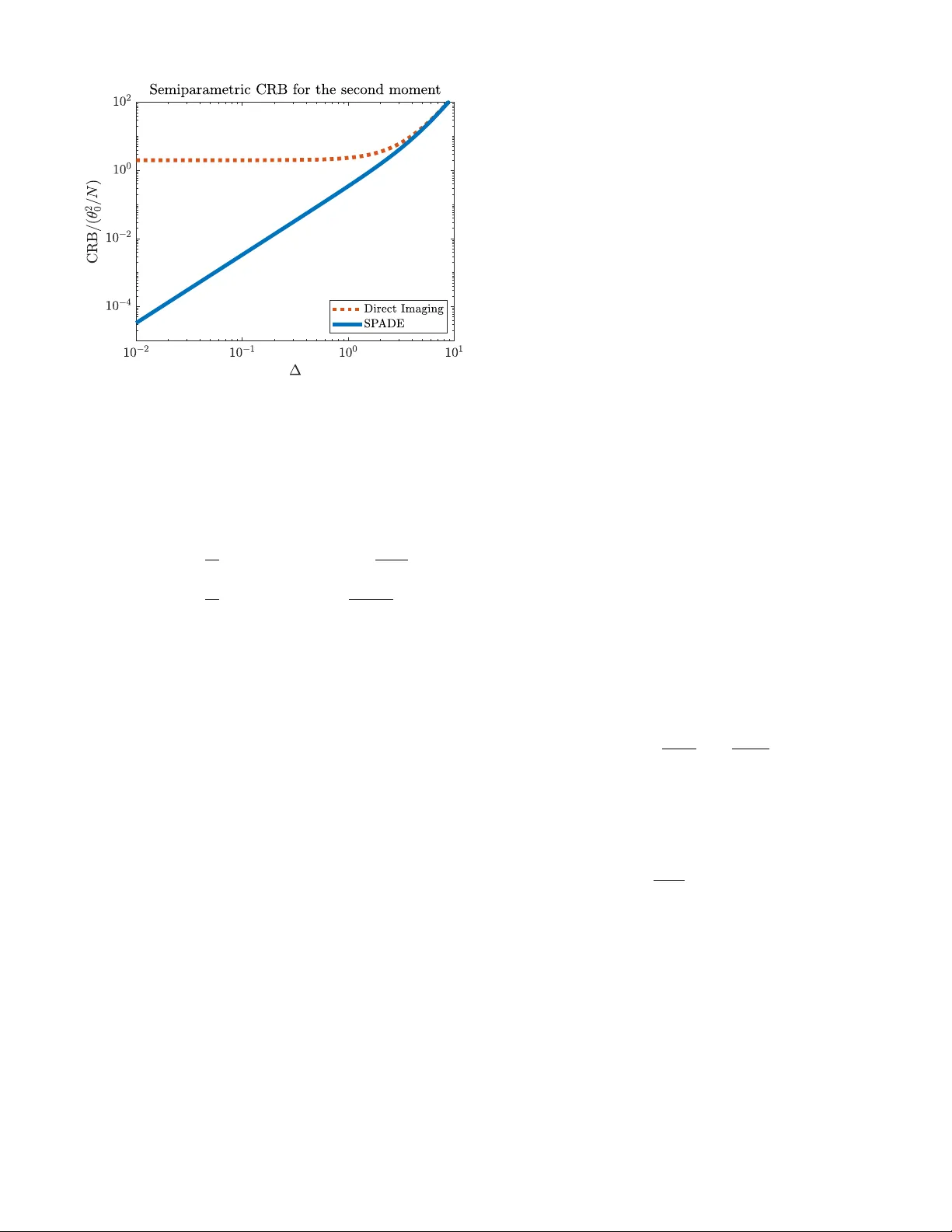
이 논문은 비코히런트 광학 영상에서 물체의 순간(moment)들을 추정할 때, 파라메트릭 모델에 의존하지 않고도 정확한 Cramér‑Rao bound(CRB)를 구할 수 있는 반파라메트릭 추정 이론을 제시한다. 먼저 포아송 과정에 대한 일반적인 Fisher 정보와 CRB를 정리하고, 이를 Hilbert 공간 형태로 변환한다. 점수 함수들을 이용해 정의된 접선공간 T와 그 직교보완 T⊥를 통해 영향 함수(influence function)를 구하고, 효율적인 영향 함수는 T에 대한 정사영으로 표현한다. 무한 차원의 파라미터 벡터 θ를 가정하면서도 T를 닫힌 선형 스팬으로 정의함으로써 반파라메트릭 CRB를 유도한다. 비코히런트 광학 영상 모델은 물체의 공간 분포를 측정 가능한 순간들의 무한 시리즈 θ_j = ∫ y^j dF(y) 로 표현한다. 직접 영상에서는 점확산함수(PSF) H(x)와 물체 분포의 컨볼루션 형태 f(x)=∫ H(x−y)dF(y) 로 기술되며, H(x)의 테일러 전개를 통해 f(x)를 θ_j와 연결한다. 점수 함수 S_j(x)=(-1)^j/j! f(x) ∂^j H(x)/∂x^j 로부터 접선공간이 전체 Hilbert 공간 H와 동일함을 증명하고, 이는 모든 영향 함수가 이미 T에 포함된다는 의미다. 관심 파라미터 β = u·θ (u는 고정 가중치 벡터) 에 대해, 이미지 순간 φ_j = ∫ x^j f(x)dx 를 이용해 β를 φ와 선형 변환 C^{-1}으로 연결한다. 여기서 C는 하삼각 행렬이며, C^{-1} 역시 하삼각 형태이므로 계산이 용이하다. 효율적인 영향 함수 ˜β(x)=u·C^{-1}·˜φ(x) 를 구하고, 이는 직접 영상의 경우 T=H이므로 바로 효율적이다. 따라서 CRB는 ν(˜β^2)=u^T C^{-1} ν(˜φ˜φ^T) (C^{-1})^T u 로 명시된다. SPADE(Spatial‑Mode Demultiplexing) 측정은 물체의 순간을 직교 모드 q에 투사한 강도 f(q)=∫ H(q|y) dF(y) 로 표현한다. 논문은 SPADE가 동일한 총광자 수 τ를 유지하면서도 접선공간이 H와 동일하거나 더 큰 구조를 갖는다고 보여, 효율적인 영향 함수가 직접 영상보다 더 작은 분산을 제공함을 증명한다. 특히, 물체가 정규화된 분포(∫ dF=1)일 때 제약을 반영한 수정된 CRB를 도출하고, SPADE가 모든 순간에 대해 직접 영상보다 낮은 CRB를 달성함을 수치 및 이론적으로 확인한다. 제약 조건을 포함한 경우, θ_0=1을 고정함으로써 전체 광자 수 N=τ가 일정해진다. 이때 CRB는 추가적인 직교보완 공간 T⊥에 대한 정규화 항을 포함하게 되지만, SPADE는 여전히 T⊥에 대한 투영이 거의 없으므로 효율이 크게 유지된다. 결론적으로, 반파라메트릭 프레임워크는 무한 차원의 누설 파라미터를 포함한 실제 광학 시스템에 적용 가능함을 보이며, SPADE가 사전 정보가 거의 없을 때도 순간 추정 효율성을 크게 향상시킨다는 중요한 결론을 제시한다. 또한, 제시된 효율적인 추정기(선형 필터 형태)는 물체의 구체적인 형태를 알 필요 없이 직접 측정값만으로 구현 가능하므로 실험적 적용 가능성이 높다.

원본 논문

고화질 논문을 불러오는 중입니다...

댓글 및 학술 토론

Loading comments...

의견 남기기