주기적 다중에이전트 지속 모니터링 최적화
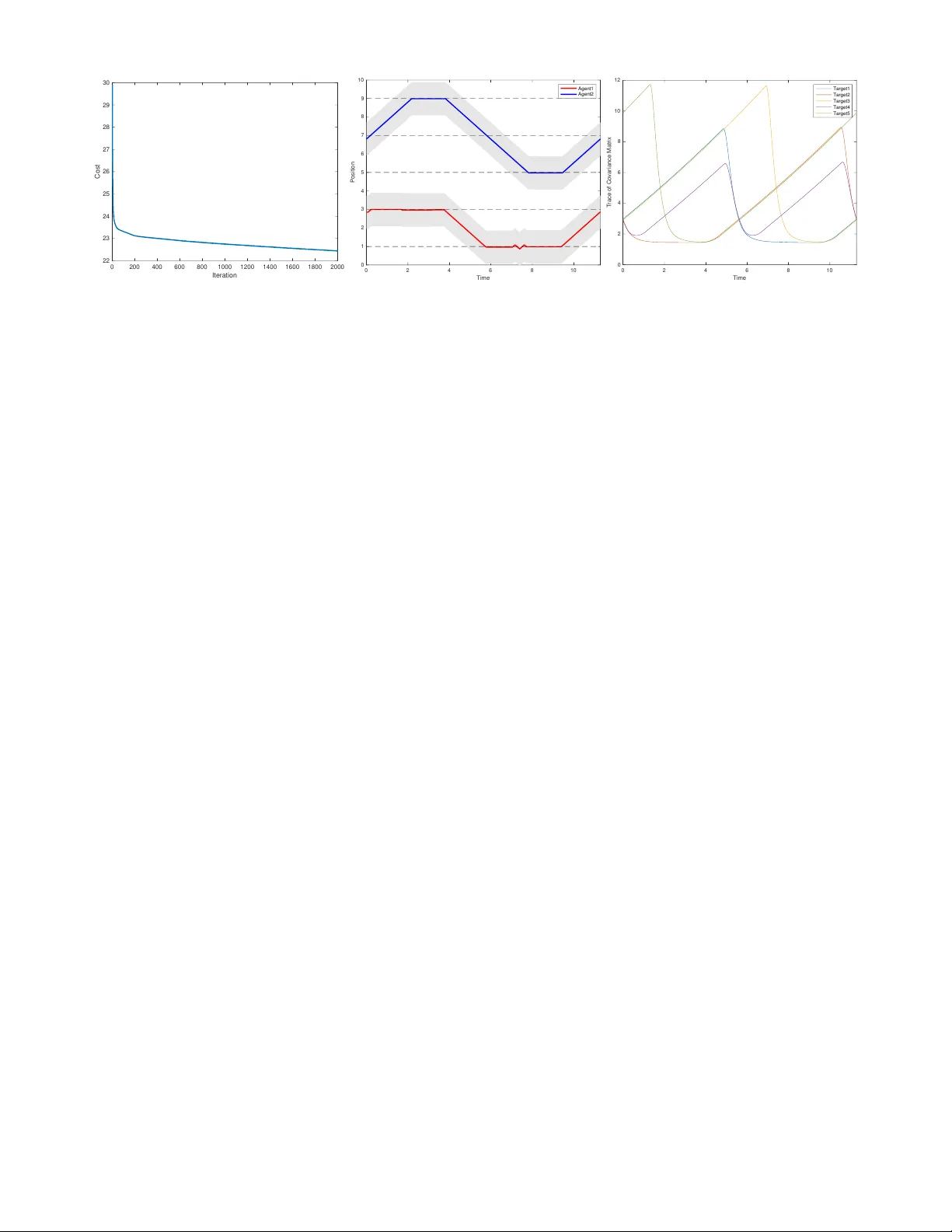
본 논문은 1차원 환경에서 제한된 이동 에이전트가 선형 확률 동역학을 따르는 다수의 목표 상태를 지속적으로 추정하는 문제를 다룬다. 무한 시간 수평을 가정하고 주기적인 이동 스케줄을 설계하며, 최적 추정기는 칼만‑부시 필터이고 평균 추정 오차는 리카티 방정식으로 기술된다. 최적 궤적은 최대 속도로 이동하거나 정지하는 구간으로 구성되며, 이를 유한한 파라미터 집합으로 표현하고 IPA 기반 그래디언트 하강법으로 최적화한다.
저자: Samuel C. Pinto, Sean B. Andersson, Julien M. Hendrickx
본 논문은 제한된 수의 이동형 에이전트가 선형 확률 동역학을 따르는 다수의 목표 상태를 지속적으로 모니터링하는 문제를 다룬다. 기존 연구들은 주로 유한 시간 구간에서의 일시적인 성능을 분석했으나, 장기 자율성을 목표로 하는 현대 사이버‑물리 시스템에서는 무한 시간 수평에서의 평균 추정 오차 최소화가 핵심 과제로 부상한다. 이를 위해 저자들은 목표들의 내부 상태 φ_i∈ℝ^{L_i}가 ˙φ_i = A_i φ_i + w_i (w_i는 백색 가우시안 잡음, 공분산 Q_i) 로 진화한다는 가정을 두고, 에이전트 j는 1차원 위치 s_j(t)와 속도 u_j(t) (|u_j|≤1) 로 움직이며, 목표 i에 대한 관측은 z_{i,j}(t)=γ_j(s_j−x_i) H_i φ_i(t)+v_{i,j}(t) 로 모델링한다. 여기서 γ_j(·)는 거리 의존 감도 함수이며, 반경 r_j 이내에서 선형 감소, 그 외에서는 0이다. 이 모델은 실제 센서가 거리와 함께 신호‑대‑잡음비(SNR)가 감소하는 현상을 반영한다.
관측이 주어지면 전체 시스템은 시간 가변 선형 스토캐스틱 시스템이 된다. 최적 추정기로는 칼만‑부시 필터가 적용되며, 공분산 행렬 Ω_i(t)의 동역학은 Riccati 미분 방정식
˙Ω_i = A_iΩ_i + Ω_iA_i^T + Q_i − Ω_i G_i Ω_i η_i(t)
으로 기술된다. 여기서 G_i = H_i^T R_i^{-1} H_i이며, η_i(t)=∑_{j∈C_i(t)}
원본 논문
고화질 논문을 불러오는 중입니다...
댓글 및 학술 토론
Loading comments...
의견 남기기