시간 가변 지연을 갖는 분수 차수 구간 시스템의 LMI 기반 강건 안정성 및 제어 설계
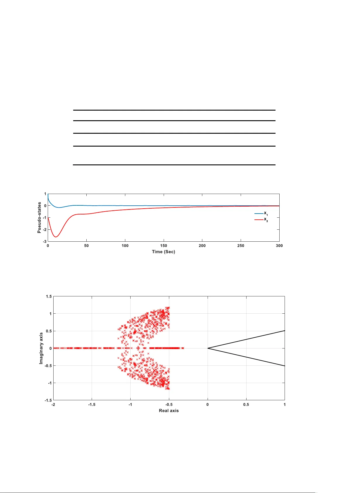
본 논문은 구간 파라미터와 시간 가변 지연을 포함하는 분수 차수 시스템에 대해 LMI(선형 행렬 부등식) 형태의 충분조건을 제시한다. 먼저 강건 안정성을 분석하고, 이어서 사전 지정된 차수의 저차 제어기를 설계하는 안정화 정리를 도출한다. 제시된 조건은 기존의 비선형 또는 보수적인 방법에 비해 계산 효율성이 높으며, 수치 예제를 통해 실효성을 검증한다.
저자: Pouya Badri, Mahdi Sojoodi
본 논문은 분수 차수( fractional‑order) 시스템에 구간 파라미터와 시간 가변 지연이 동시에 존재하는 경우의 강건 안정성 및 안정화 문제를 다루며, 이를 LMI(Linear Matrix Inequality) 기반의 체계적인 해법으로 제시한다.
1. **문제 정의 및 시스템 모델**
연구 대상은 다음과 같은 형태의 선형 시간 불변( LTI) 분수 차수 시스템이다.
\
원본 논문
고화질 논문을 불러오는 중입니다...
댓글 및 학술 토론
Loading comments...
의견 남기기