동적 경계 방어: 방사형 목표 요격 전략

본 논문은 원형 경계 안쪽으로 방사형으로 이동하는 목표들을 단일 차량이 최대한 요격하는 동적 차량 라우팅 문제를 정의하고, 도착률에 따라 세 가지 정책(FCFS, Look‑Ahead, EMHP 기반)을 제안·분석한다. 정책 독립적인 상한을 도출하고, 저도착률에서는 FCFS와 Look‑Ahead가, 고도착률에서는 EMHP 기반 정책이 최적에 상수 배 이내임을 증명한다. 수치 실험을 통해 이론적 경계가 실제 파라미터 범위에서도 유효함을 확인한다.

저자: Shivam Bajaj, Shaunak D. Bopardikar

동적 경계 방어: 방사형 목표 요격 전략
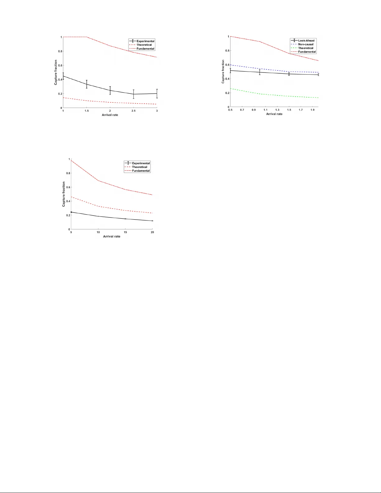
본 논문은 “동적 경계 방어(Dynamic Boundary Guarding)”라는 새로운 차량 라우팅 문제를 정의하고, 이를 이론적·알고리즘적으로 분석한다. 문제는 반경 ρ의 방어 경계와 그 바깥 반경 D의 생성 원으로 이루어진 원형 환경을 가정한다. 목표는 포아송 프로세스로 시간에 따라 균등하게 생성되며, 생성 직후 속도 v(<1)로 내부 경계(ρ) 쪽으로 방사형으로 이동한다. 차량은 1차 적분기 모델로 단위 속도로 움직이며, 목표와 동일 위치에 도달하면 요격한다. 목표가 경계에 도달하면 탈출로 간주한다. 목표의 평균 체류 시간은 (D−ρ)/v 로 제한된다. 연구는 크게 네 부분으로 구성된다. 첫 번째는 정책에 무관한 상한을 도출한다. Lemma III.1에서 두 목표 사이 이동에 필요한 평균 시간의 하한을 1/((1+v)·π·ρ²·λ) 로 구하고, 이를 서비스율 조건에 대입해 캡처 비율 상한 F_cap ≤ min{1, (1+v)·ρ²·λ/(π·v)} 를 얻는다. 이는 목표 속도, 도착률, 방어 반경이 결합된 형태이며, 어떤 정책이라도 이 한계를 초과할 수 없음을 의미한다. 두 번째는 저도착률(λ이 작을 때) 구간을 위한 두 정책을 제안한다. (1) FCFS(First‑Come‑First‑Serve) 정책은 목표가 나타난 순서대로 요격한다. 차량이 대기 중이면 중심에 머무르고, 목표가 존재하면 가장 외곽에 있는 목표를 우선 잡는다. 정리 IV.1을 통해 캡처 비율이 F_cap(FCFS) ≥ 1/(1+2λρ) 임을 증명한다. 이는 상한과 비교했을 때 λ·ρ가 작을 때 거의 최적에 가깝다. (2) Look‑Ahead(LA) 정책은 현재 존재하는 목표 집합에서 “가장 많은 목표를 포함하는 경로”를 반복적으로 계산한다. 이를 위해 목표들을 DAG(Directed Acyclic Graph) 형태로 모델링하고, 동적 프로그래밍으로 최장 경로를 찾는다. LA 정책은 FCFS보다 약간 높은 캡처 비율을 제공하지만, 계산 복잡도가 더 높다. 두 정책 모두 저도착률 구간에서 이론적 하한에 근접함을 보인다. 세 번째는 고도착률(λ→∞) 구간을 위한 정책을 설계한다. 목표가 포화 상태에 이르면 단순 순서대로 요격하는 것이 비효율적이다. 저자들은 목표 집합 중 일정 비율(예: 상위 α·n개)을 선택해 유클리드 최소 해밀턴 경로(EMHP)를 계산하고, 그 경로를 따라 순차적으로 요격한다. EMHP 길이의 기대값은 β·√n·√|A| 로 근사되며, β≈0.712이다. 이를 이용해 캡처 비율이 Ω(1−v·√v·(1+√v)/(λρ)) 임을 증명한다. 특히 v→0 일 때 이 비율은 상한의 상수 배 이내가 된다. 네 번째는 수치 시뮬레이션을 통해 이론적 결과를 검증한다. 파라미터 λ, v, ρ, D 를 다양하게 변동시켜 세 정책의 실제 캡처 비율을 측정한다. 결과는 저도착률에서는 FCFS와 LA가 이론적 하한에 근접하고, 고도착률에서는 EMHP 기반 정책이 상한에 가깝게 동작함을 확인한다. 또한, λ에 대한 임계값을 찾아 정책 전환 기준을 제시한다. 논문의 주요 기여는 다음과 같다. (1) 정책 독립적인 캡처 비율 상한을 도출하여 문제의 근본적인 한계를 제시한다. (2) 도착률에 따라 최적에 근접한 세 가지 정책을 설계·분석한다. (3) DAG 기반 최장 경로와 EMHP 등 기존 최적화 기법을 동적 환경에 적용하는 방법을 제시한다. (4) 수치 실험을 통해 이론적 분석이 실제 파라미터 범위에서도 유효함을 입증한다. 이 연구는 무인 항공기 방어, 우주 쓰레기 회수, 드론 침입 방지 등 다양한 실시간 방어 시스템에 적용 가능하다. 특히 목표가 내부로 수렴하는 특성을 이용해 차량의 이동 효율을 극대화하는 접근법은 기존의 정적 혹은 무작위 이동 목표를 다루는 연구와 차별화된다. 향후 연구에서는 다중 차량 협업, 차량의 가속·감속 제한, 목표의 다중 우선순위 등 보다 복잡한 현실 상황을 고려한 확장 모델이 기대된다.

원본 논문

고화질 논문을 불러오는 중입니다...

댓글 및 학술 토론

Loading comments...

의견 남기기