포르투갈 가정용 태양광·배터리 경제성 언제 이득인가
본 연구는 포르투갈 3개 지역의 가정용 저전압 C‑프로파일(3.45 kVA)에서 PV만 설치한 경우와 PV‑배터리 복합 시스템을 비교해 비용‑편익을 평가한다. 현재 전력 요금·법규(Decreto‑Law 153/2014) 하에서는 PV 단독이 대부분 경제적이지만, 에너지 관리 최적화와 특정 지역(에보라·포르투)에서는 배터리 포함 시스템도 수익성을 확보할 수 있음을 보여준다.
저자: Ana Foles, Luis Fialho, Manuel Collares Pereira
본 논문은 포르투갈 가정용 저전압 C‑소비자(계약 전력 3.45 kVA)를 대상으로, 태양광(PV) 시스템과 배터리 에너지 저장장치(ESS)의 경제성을 정량적으로 평가한다. 연구 배경으로는 재생에너지 확대와 마이크로그리드 구축, 그리고 ‘프로슈머’ 개념이 확대됨에 따라 가정에서 자체 전력 생산·소비·저장 모델이 필요해졌다는 점을 제시한다. 포르투갈 정부는 2014년 제정된 Decreto‑Law 153/2014를 통해 마이크로‑발전과 자가소비를 장려하고 있으며, 이에 따라 피드‑인 요금(FIT)과 자가소비 보조금이 적용된다. 논문은 이러한 정책적 틀과 지역별 전기요금 차이를 반영해 세 개의 대표 지역(리스본, 에보라, 포르투)에서 시뮬레이션을 수행한다.
연구 방법론은 현금흐름 분석(Cash‑Flow) 기반이며, 투자 연도부터 25년 운영 기간 동안 발생하는 모든 비용(투자비, O&M, 감가상각, 세금)과 수익(전력 절감, 잉여 전력 판매, 인증서 수익)을 고려한다. 할인율은 5 %로 설정하고, 주요 재무 지표로는 순현재가치(NPV), 내부수익률(IRR), 비용‑편익비(B/C), 레벨라이즈드 전력비용(LCOE) 등을 산출한다. PV 용량은 1 kW부터 10 kW까지 단계별로, 배터리 용량은 5 kWh, 10 kWh, 15 kWh 등으로 변형하여 다양한 시나리오를 검토한다. 또한, 배터리 사용률(BU), 자가소비 비율(SSR), 공급 비율(SSR), 피크·오프피크 전력 요금 차이 등을 변수로 설정해 민감도 분석을 시도한다.
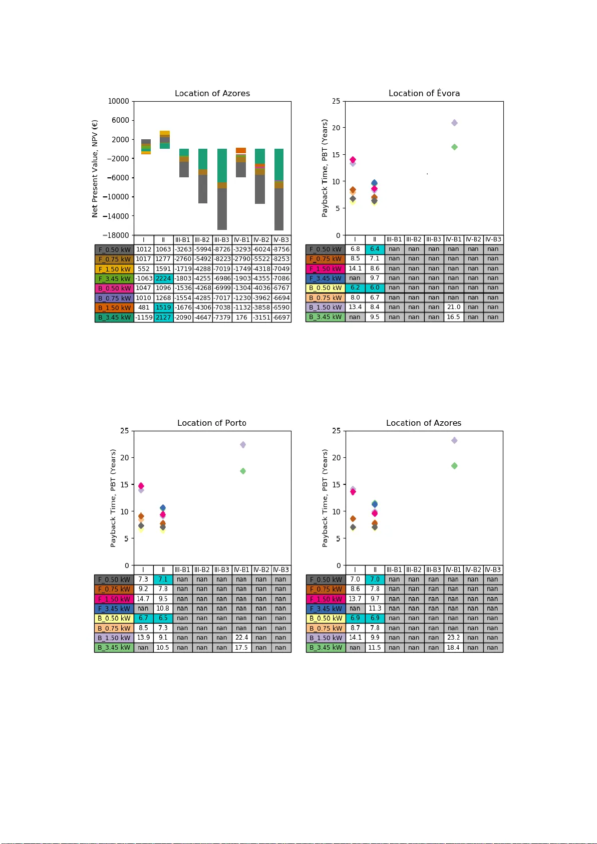
시뮬레이션 결과, PV만 설치했을 경우 LCOE는 0.07 €/kWh 수준으로 전력 구매가격(0.12 €/kWh~0.18 €/kWh)보다 낮아 즉시 비용 절감 효과가 확인되었다. B/C 비는 1.15~1.35, IRR은 7 %~9 %에 달해 투자 회수 기간이 7~9년으로 비교적 짧았다. 반면 배터리를 추가하면 초기 투자비가 2~3배 증가해 B/C 비가 0.85~1.02 사이에 머물렀으며, 대부분의 경우 1 미만으로 수익성이 낮았다. 그러나 에보라와 포르투에서는 전력요금이 상대적으로 높고 일조량이 풍부해, 배터리 용량을 10 kWh로 설정하고 에너지 관리 전략(피크 시간대 방전, 저요금 시간대 충전, 잉여 전력 최소화)을 적용하면 B/C 비가 1.02~1.08, IRR이 4.5 %~6 %에 도달했다. 이는 배터리 통합이 경제성을 확보하려면 전력요금 구조와 자가소비 비율이 핵심 변수임을 시사한다.
또한, 인증서(CE)와 피드‑인 보조금이 2020년 이후 단계적으로 축소되고 있어, 장기적인 수익성은 정책 변화에 크게 좌우될 것으로 전망된다. 배터리 효율 저하(연간 2 %~3 %), 충전·방전 사이클 비용, 그리고 전력시장 가격 변동성을 고려한 민감도 분석이 부족한 점은 연구의 한계로 지적된다.
결론적으로, 현재 포르투갈 가정용 전력 시장에서는 PV 단독 설치가 가장 안전하고 경제적인 선택이며, 배터리와의 복합 시스템은 전력요금이 높은 지역(특히 에보라·포르투)과 고도화된 에너지 관리 시스템을 갖춘 경우에만 수익성을 확보할 수 있다. 정책 입안자는 배터리 인센티브를 재검토하고, 스마트 미터링 및 자동화된 에너지 관리 플랫폼을 지원함으로써 가정용 ESS 시장 확대를 촉진할 필요가 있다.
원본 논문
고화질 논문을 불러오는 중입니다...
댓글 및 학술 토론
Loading comments...
의견 남기기